第二章 齒輪聯軸器的剛度及阻尼
2.1 引言
齒輪聯軸器是一種可移式聯軸器,類型很多,且多數已經標準化。齒輪聯軸器通常由四個部分組成,如圖2.1a、圖2.1b所示。它一般包含二個半聯軸器,每個半聯軸器又由一對齒數相等的內嚙合齒輪(內齒套和外齒輪)構成。類型主要可分為CL型和CLZ型,以適合不同的使用目的。如果按齒形來分,則可分為直齒齒輪聯軸器和鼓形齒齒輪聯軸器等。

對于齒輪聯軸器的研究,以往人們比較注重其內摩擦對系統穩定性的影響,而忽視其在整體系統中的參振作用。關于齒輪聯軸器力學模型建立的討論較少,Marmol[34]對直齒聯軸器進行了;,考慮了齒輪聯軸器的橫向和轉角方向的變形及摩擦。用四個等效的剛度和阻尼系數來表征齒輪聯軸器的橫向振動特性,其中的轉角剛度是在內外齒面分開及在輕載荷時才成立,而沒有考慮在重載不脫齒時的情況,同時也未對扭轉振動特性進行分析。因此這方面的研究應進一步深入。
本章首先在外齒輪嚙合的基礎上,提出了二梯形當量齒形法建立了直齒齒輪聯軸器內齒套和外齒輪輪齒的變形和剛度計算模型。其次,分析了作用在齒輪聯軸器系統上的受力情況,并根據一些必要的假設,利用六個等效的剛度、阻尼系數來刻劃半聯軸器系統的力學行為。最后,通過實驗對作用于某CL型齒輪聯軸器上的彎矩進行實測,根據實測結果來確定齒輪聯軸器的轉角剛度,并對內外齒輪之間的接觸情況作出判斷,從而可以在實際系統的動力學分析中,比較合理地選擇齒輪聯軸器的動力特性。
2.2 直齒聯軸器輪齒變形分析—二梯形當量齒形法
在分析大型的軸承—轉子—齒輪聯軸器系統的振動時,文獻[34]將其中的聯軸器看成是一個質量彈簧阻尼器系統,而彈性系數的確定需要知道輪齒的變形,下面就針對輪齒的變形特點進行分析計算。對于輪齒變形或剛度的計算方法很多[84],但通常采用當量齒形法、有限元法[85~87]等。當量齒形法是將齒廓用一個矩形和一個梯形來模擬漸開線齒形,輪齒的總變形包括矩形和梯形的彎曲變形、剪切變形、由輪齒基體的彈性傾斜所引起的輪齒的變形以及輪齒的Hertz接觸變形。以上的計算方法是基于外齒輪嚙合情況的,而對于內齒輪嚙合尤其是對齒輪聯軸器時就不適合,因為直齒輪聯軸器內外齒的齒面形狀幾乎完全一樣,接觸面較大,此時,其中的Hertz接觸變形模型不適用,而應代之以材料的整體的壓縮變形模型[34]。用當量齒形法計算內齒輪的變形時當量矩形的高度也不好確定,即使如外齒輪一樣來選取,但也因內外齒的輪廓存在差異而產生較大誤差。Marmol[34]將齒面劃分成一系列的矩形條,如圖2.2a所示,這樣計算的精度與所取的矩形條的數目有關,并且計算工作量較大。
本文將輪齒的齒廓劃分為二個梯形,用二個梯形的彎曲變形、剪切變形、由輪齒基體的彈性傾斜所引起的輪齒的的變形以及輪齒的材料壓縮變形來模擬內齒的輪齒變形,故稱之為二梯形當量齒形法。這樣處理與Marmol的方法相比更接近實際的齒廓形狀,而且與外嚙合輪齒的梯形加矩形模型正好對應。下面就介紹二梯形當量齒形法,將內齒輪輪齒劃分為上、下二個梯形,如圖2.2b所示。

2.2.1 下梯形部分的變形
幾何尺寸

式中 hr為下梯形高度,Sf為齒根厚,Sk為截面齒厚。
(1)彎曲變形及柔度
在截面x處的彎矩
M(x)=Fncosωx[x-(hil-hx] (2.2)
式中 Fn為節圓處的法向載荷,ωx為節圓載荷角,hx為嚙合點的高度。
在截面x處的慣性矩

式中 b為齒寬。
由卡氏定理,這部分的彎曲變形為

式中 M(x)為在截面x處的彎矩,E為材料的彈性模量。由式(2.4)可得

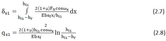
(2)剪切變形及柔度

式中 μ為材料的泊松比。
2.2.2 上梯形部分的變形
幾何尺寸

式中 S為節圓齒厚。
(1)彎曲變形及柔度
在截面x處的彎矩
M(x)=Fncosωx[x-hi2-hx] (2.10)
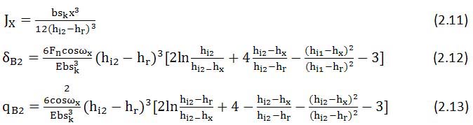
在截面x處的慣性矩

(2)剪切變形及柔度

2.2.3 輪齒基體的彈性傾斜引起的變形
根部的應力狀態比較復雜,在此把它看成是線性分布[85],如圖2.3所示
在齒根處的彎矩

式中 σ為最大齒根應力,a為幾何參數。
相應的法向柔度為


2.2.4 整體材料的壓縮變形
相應的柔度[34]為

注:文獻[34]中的E已計及了泊松比的影響。
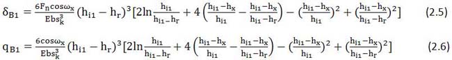
輪齒總的法向柔度
q=qB1+qS1+qB2+qS2+qG+qH (2.21)
2.3 二梯形當量齒形法與有限元法的比較
本文采用CL5型齒輪聯軸器[88]的輪齒作為計算模型,其中齒輪模數m=3,hx=3mm,b=25mm,α=20°,E=206GPa,μ=0.3。采用二梯形當量齒形法計算,取hr≈hx/2,結果見表2.1,取hr≈hx/3時,計算結果見表2.2。
表2.1 各項柔度的計算值hr≈hx/2 m/N
| |
qB1 |
qS1 |
qB2 |
qS2 |
qG |
qH |
q |
| 內齒 |
5.945×10-11 |
1.063×10-10 |
1.554×10-11 |
1.358×10-10 |
1.774×10-10 |
7.821×10-11 |
5.728×10-10 |
| 外齒 |
1.601×10-10 |
1.470×10-10 |
3.432×10-11 |
1.758×10-10 |
3.978×10-10 |
6.257×10-11 |
9.776×10-10 |
表2.2 各項柔度的計算值hr≈hx/3 m/N
| |
qB1 |
qS1 |
qB2 |
qS2 |
qG |
qH |
q |
| 內齒 |
4.424×10-11 |
6.818×10-11 |
3.071×10-11 |
1.737×10-10 |
1.774×10-10 |
7.821×10-11 |
5.724×10-10 |
| 外齒 |
1.220×10-10 |
9.546×10-11 |
7.207×10-11 |
2.280×10-10 |
3.978×10-10 |
6.257×10-11 |
9.779×10-10 |
比較表2.1和表2.2可知,二者對應的各項柔度值雖有較大的變化,但總的柔度q卻變化甚微,其內外齒柔度的和相差更小。因此下梯形的高度的取值對齒對的柔度影響很小。
為了與上述方法進行數值比較,在此對內、外齒輪的輪齒進行有限元法分析。輪齒的有限元網格劃分見圖2.4,輪齒網格的輪廓盡量模擬自然邊界?紤]到彈性基座的傾斜對柔度的影響較大,因此本文取AB=6m,AD=3.25m(m是齒輪的模數)。載荷的分布與齒對的接觸情況有關,對于齒輪聯軸器齒面接觸比較特殊。本文將載荷均勻地分布于工作齒面上。節圓處的切向柔度為qt,相應的法向柔度[89]q=qtcos2α。計算結果見表2.3.

表2.3 有限元法計算輪齒的柔度值 m/N
| |
切向柔度 |
法向柔度 |
相對差百分比 |
| 內齒 |
6.780×10-10 |
5.987×10-10 |
-4.595% |
| 外齒 |
1.004×10-9 |
8.868×10-10 |
9.288% |
| 齒對 |
1.682×10-9 |
1.486×10-9 |
4.129% |
對內齒而言用當量齒形法所計算得的柔度值要比用有限元法所得值小,兩者相差4.595%左右,如果僅從模型上來考慮,那么在用兩梯形來模擬漸開線齒形對時,將齒廓漸開線用兩條直線來代替,無形中使輪齒增加了小部分材料導致內齒的剛度增大,柔度減少。對外齒則相反。而齒對柔度二者相差4.129%,得到了補償。有了內、外齒的柔度就可以計算出齒對的剛度。需要指出的是對于鼓形齒的輪齒剛度計算,由于內外齒輪輪齒間的接觸面積較小,仍可按Hertz接觸變形計算。
作為先進的現代工程分析方法,有限元法在齒輪輪齒的強度和剛度分析中有著較廣泛的應用。但在大型的軸承—轉子系統的動力學分析中,一方面由于系統非常龐大,如果采用有限元法來計算輪齒的剛度,那么會大大地增加計算工作量;另一方面由于有限元法本身比較復雜,給編程帶來不便。
上述的分析計算,結果表明二梯形當量齒形法易于編程,方法簡單,且能滿足工程計算精度要求,因此在后面各章中凡涉及到齒輪聯軸器輪齒剛度計算時,均采用二梯形當量齒形法。
2.4 齒輪聯軸器的剛度和阻尼
對于圖2.1所示的齒輪聯軸器系統,將其中的內齒套和外齒輪均看成具有質量和轉動慣量的圓盤,兩半聯軸器之間的部分模化成一軸段。由于齒輪聯軸器的左右結構相似(參見圖2.1),處理方法類同,因此下面重點來討論其中的一半(即半齒輪聯軸器)的力學模型。為使問題簡化現作如下假設:1)齒側接觸且不脫開,不計齒形及齒節等誤差。2)每個輪齒承載相同。3)小擾動工況,半齒輪聯軸器的剛度系數在穩態下進行線性化。4)阻尼用等效粘性系數來;
2.4.1 半齒輪聯軸器受力分析
齒輪聯軸器上的受力是比較復雜的,對于外齒輪而言,除了與聯軸器連接的軸段對其的作用力外,還有內齒套對外齒輪的作用力。轉子系統在運動過程中,內外齒輪之間要發生相對運動,由于齒面間存在變形和摩擦,因此在外齒輪的齒面上會產生與齒面垂直的正壓力Ni和與齒面相切的摩擦力Fi,見圖2.5a。如果將各齒面上的作用力分別向外齒輪的中心O簡化可以得到作用于O點的一個力和一個力偶,并將該力和力偶分別分解到三個軸上,得到三個分力Fξ、Fη、Fz三個力偶矩Mξ、Mη、Mz,如圖2.5b所示。

對于直齒聯軸器,由于沿Z方向的軸向力FZ較小,故將其忽略,將上述的力和力偶矩分別在穩態下進行線性化,則可得

其中 Fξ0,Fη0,Mξ0,Mη0,Mz0分別為在穩態下內齒套作用在外齒輪上的作用力和力偶。
△Fξ,△Fη,△Mξ,△Mη,△Mz分別為相應的動態力和動態力偶矩。
在理想狀態下
Fξ0=Fη0=Mξ0=Mη0=0
Mz0=T (2.23)
式中 T為聯軸器所傳遞的扭矩。
根據前面的假設,將內外齒輪間的動態力和動態力偶用半齒輪聯軸器的等效剛度和阻尼系數來表示,則可得

式中 kξ,kη分別為半齒輪聯軸器沿ξ,η軸的橫向剛度系數。
kε,kδ分別為半齒輪聯軸器繞ξ,η軸的轉角剛度系數。
kt為半齒輪聯軸器繞z軸的扭轉剛度系數。
式中 cξ,cη分別為半齒輪聯軸器沿ξ,η軸的橫向阻尼系數。
cε,cδ分別為半齒輪聯軸器繞ξ,η軸的轉角阻尼系數。
ct為半齒輪聯軸器繞z軸的扭轉阻尼系數。
△ξ,△η,△ε,△δ,△θ分別為半齒輪聯軸器內外齒輪中心處的相對橫向位移、轉角位移和扭轉角位移。
分別為半齒輪聯軸器內外齒輪中心處的相對橫向速度、角速度和扭轉角速度。
在上述的剛度和阻尼系數中,如果齒輪聯軸器對中良好,沿ξ,η二個方向的力學行為基本相同,則齒輪聯軸器的剛度和阻尼可簡化為六系數,并用kl,ka統一表示為橫向剛度系數和轉角剛度系數;cl,ca則分別表示為橫向阻尼系數和轉角阻尼系數。
根據作用與反作用定律,可以寫出外齒輪對內齒套的作用力關系,在此從略。下面就重點來討論這六個剛度和阻尼系數的建立過程。
上一頁
下一頁