第2章 圓柱正弦活齒傳動空間嚙合理論研究
2.1引言
活齒傳動的結構型式對其運動學特性和動力學特性的影響起決定性作用。所以工程中應用時,對設計方案一定要周密的考慮到各種影響因素,以求得到最合理、傳動性能最好的結構方案。目前在常見的活齒傳動中,例如擺線活齒傳動或推桿活齒傳動等,其激波器均為偏心圓結構,這種結構形式使激波器產生慣性力和作用力,引起系統的運動不穩定,為了消除這些力的作用,必須采用雙排激波器串聯分布并保證相位差為180°,這樣又加長了傳動的運動鏈,增加了動力損耗。若采用橢圓型激波器等自平衡結構,雖可使慣性力、作用力平衡,但需采用柔性軸承技術,加大了加工成本。
本文研究的圓柱正弦活齒傳動是一種具有自平衡結構的活齒傳動,僅采用單排激波器的結構型式,即可使慣性力達到平衡,縮短了傳動運動鏈,減少了動力損耗,提高了傳動系統的效率和運動穩定性。圓柱正弦活齒傳動屬空間嚙合傳動,目前在活齒傳動空間嚙合理論方面的研究還未見報道。本文首先在自由度計算、運動可能性及連續傳動條件等方面對其進行分析,建立了圓柱正弦活齒傳動的齒廓方程,然后對其進行受力分析和活齒傳動共扼齒廓間滑動率變化規律的研究,從而建立了完整的圓柱正弦活齒傳動的結構設計理論和空間嚙合理論,為該傳動的強度設計和優化設計奠定理論基礎。
2.2圓柱正弦活齒傳動的結構分析
2.2.1結構組成及傳動原理
圖2-1所示為圓柱正弦活齒傳動機構的結構簡圖,圓柱正弦活齒傳動由主動軸、殼體、導架及活齒這四個部分組成。殼體的內圓柱表面上有周期數為Z3的內正弦滾道,軸承7、8、9、10支撐導架,導架圓周面上均勻分布著軸向活齒槽。軸承7、9支撐主動軸,其外圓柱面上有周期數為Z1的外正弦滾道,在內滾道、外滾道及導架活齒槽的交錯區域內安裝有球形活齒。

圓柱正弦活齒傳動是空間傳動機構,其空間正弦滾道具有周期性,將該傳動沿圓柱直母線方向展開,則機構的運動將轉化為如圖2-2所示的平面運動。由此,它的自由度計算可利用平面自由度公式進行計算,主動軸、導架及殼體相對于固定機架各有一個轉動副,活齒與這三個構件間形成三個高副,活齒本身存在一個局部自由度F′,則圓柱正弦活齒傳動的自由度F為F=3n-2PL-PH-F′=3×4-2×3-3-1-2。由此可見,這是一個差動機構,給定兩個原動件,傳動機構才會有確定的運動。當固定殼體、導架及主動軸之一時,傳動機構的自由度為1。在圖2-2中各部件的含義同圖2-1,若殼體固定,主動軸為動力輸入軸,當主動軸轉動時,主動軸上的外正弦滾道推動活齒運動,在主動軸外正弦滾道及殼體內正弦滾道的共同約束限制下,活齒繞公共軸線的圓周方向作等速運動,同時推動導架的活齒槽,由導架輸出動力。

2.2.2圓柱正弦活齒傳動的連續傳動條件
為保證圓柱正弦活齒傳動能夠正常的工作,必須滿足其連續傳動條件。根據活齒傳動連續傳動的定義,圓柱正弦活齒傳動連續傳動條件可表示為“在活齒傳動嚙合區中每一瞬時至少有一個活齒處于嚙合狀態,并保證單個活齒與正弦滾道齒面能夠連續接觸嚙合傳動”。
圓柱正弦活齒傳動在工作過程中,幾乎每個活齒都同時參與嚙合,活齒安裝在主動軸與殼體正弦滾道的交叉點處,活齒的安裝位置限制了活齒的數目n。將空間正弦曲線沿圓柱直母線方向展成平面正弦曲線,如圖2-3所示,其中1線為主動軸正弦滾道曲線,3線為殼體正弦滾道曲線。設正弦曲線切線的斜率有正負之分,則兩條正弦曲線相交,交點可以分為兩類:一類交點指在交點處兩正弦曲線的切線斜率同號(如圖中黑點所示);二類交點指在交點處兩正弦曲線的切線斜率異號(如圖中白圈所示)。若要求圓柱正弦活齒傳動的輸入輸出為同向傳動時,活齒應安放在二類交點處,此時活齒的個數為n=Z1+Z3;若輸入、輸出為反向傳動時,活齒應安放在一類交點處,此時活齒的個數為n=|Z1-Z3|。并保證,n≥3。

由于主動軸、殼體正弦滾道齒面是由活齒齒面包絡而成,則正弦滾道齒形受活齒半徑r、活齒中心圓周方向旋轉半徑R、正弦滾道周期數Zi(i=l、3)、正弦幅值A、滾道深度b1、b3等參數的影響,這些參數應該滿足一定的關系,使正弦滾道理論齒廓曲線不發生頂切,以保證活齒傳動正確的運動條件。
以殼體的正弦滾道為例,將殼體的內圓柱面沿圓柱直母線方向展開后如圖2-4所示。當殼體內圓柱面上正弦軌跡曲線L的最小曲率半徑ρmin大于活齒嚙合部分小圓半徑ra時,殼體正弦滾道的理論齒廓曲線是連續的(圖2-4a);當ρmin<ra時,理論齒廓曲線發生頂切(圖2-4b)。殼體內圓柱上正弦軌跡曲線L的方程可表達為:

式中 r3——殼體內圓柱面半徑r3=R+rsin(αn3),(mm);
R——活齒中心圓周方向旋轉半徑(mm);
r——活齒半徑(mm);
φ——活齒中心在圓周方向位置角(rad);
αn3——活齒與殼體的接觸角(rad);
A——正弦幅值(mm);
Z3——殼體正弦滾道周期數。

根據微分幾何中對曲率k的定義,曲率半徑ρ為

將式(2-1)代入式(2-2)中,求解得最小曲率半徑為

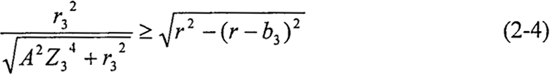
必須滿足ρmin≥ra,才能保證殼體正弦滾道理論齒廓曲線不發頂切。根據活齒中的幾何關系有
,即應滿足

式中b3——殼體正弦滾厚深度(mm)。
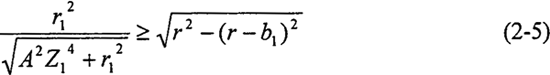
同理得到主動軸正弦滾道理齒廓曲線不頂切的條件為:

式中r1——主動軸外圓柱面半徑(mm);
Z1——主動軸正弦滾道周期數;
b1——主動軸正弦滾道深度(mm)。
2.2.3傳動比的計算公式
由于轉動件的角速度ω與轉角φ之間的關系為ω=dφ/dt,因此圓柱正弦活齒傳動任意兩轉動件的傳動比,可表示為兩轉動件的轉角比。圓柱正弦活齒傳動中,將正弦曲線沿圓柱直母線方向展開,活齒中心沿主動軸外正弦滾道運動的軌跡方程為S1=Asin(Z1φ),沿殼體的內正弦滾道運動的軌跡方程為s3=Asin(Z3φ)。當主動軸微轉角△φ1后,導架的轉角為△φ2,根據活齒始終在兩條正弦滾道的交叉點處的條件,可以推導出傳動比計算公式。若輸入輸出為同向傳動時,則傳動比計算公式為

若輸入輸出為反向傳動時,傳動比的計算公式為

圓柱正弦活齒減速器具有結構簡單、徑向尺寸小等優點,其傳動比理論上說可以達到任意值,但是要受到徑向尺寸、正弦幅值、活齒半徑等參數的制約,如果需要大的傳動比,可以采用多級傳動。
2.3齒廓方程的建立
圓柱正弦活齒傳動中的正弦滾道是由活齒中心沿空間正弦軌跡曲線運動包絡而成的。為便于該傳動機構的加工制造和進一步理論分析的研究,有必要建立正弦滾道的齒面方程。
2.3.1坐標系的建立
設
分別為與主動軸、導架、殼體及活齒固聯的坐標系,其坐標關系如圖2-5、圖2-6所示。σ1、σ2、σ3的公共坐標原點為O,所有活齒分布在半徑為R的圓柱面上,主動軸齒面∑1、導架齒面∑2、殼體齒面∑3是由活齒齒面∑4包絡而成。殼體固定不動,σ3即為固定坐標系,φ為主動軸坐標系到固定坐標系的旋轉角,取導架坐標系為參考坐標系,φ1、φ3分別為主動軸、殼體的坐標系到參考坐標系的旋轉角。根據圓柱正弦活齒傳動的傳動比公式可知:


2.3.2嚙合方程
現以主動軸與活齒的嚙合為例建立圓柱正弦活齒傳動的嚙合方程和齒面方程。根據空間嚙合理論,兩共扼齒面∑1、∑的嚙合方程和嚙合函數依次為:

為建立該傳動的嚙合方程,使在不同坐標系中的各個矢量進行計算,需將所有矢量轉換到統一的坐標系中,為方便求解,將所有矢量均轉換到導架的坐標系σ2中。
圓柱正弦活齒傳動中的活齒為規則球體,則其齒面方程即為球面方程,活齒坐標系如圖2-6 所示,活齒齒面方程用球面坐標表達為:

式中 u、v——球面上參數(rad);
r——球面半徑(mm)。

根據微分幾何求得球面各點的幺法矢為

將式(2-10)代入式(2-11)中,經坐標變換整理得到:

主動軸與活齒嚙合點處的相對速度為

式中
——導架坐標系中σ4與σ1坐標原點連線的矢量,由圖2-6可知:

ω——主動軸旋轉的絕對角速度(rad/s);

R——活齒中心圓周方向旋轉半徑(mm);
C——活齒中心軸向位移C=Asin(Z1·φ1),(mm);
A——正弦曲線的幅值(mm)。

2.3.3正弦滾道齒面方程的建立
將活齒齒面方程(2-8)的坐標轉換到σ1上,并與嚙合方程(2-16)聯立,即可得到主動軸齒面∑1的方程,即

式中M21——σ2到σ1的坐標轉換矩陣。

主動軸齒面Σ1方程寫成分量形式為:

同理得到殼體齒面Σ3的方程為:

當φ1、φ3為定值時,以上兩個齒面方程成為接觸線方程,該傳動的接觸線為活齒大圓的一部分。在實際加工中,考慮到加工精度及接觸條件的影響,滾道半徑r′常稍大于活齒半徑r,通常情況取r′=(l.04~1.11)r,即實際工作中圓柱正弦活齒傳動為空間點接觸嚙合傳動。目前,國內外常見的滾道型面分為單圓弧滾道和雙圓弧滾道兩種。若采用單圓弧滾道,則主動軸和殼體正弦滾道實際的齒廓方程分別變為:

式中 R1——主動軸滾道空間正弦曲線徑向半徑(mm);
R3——殼體滾道空間正弦曲線徑向半徑(mm)。
若采用雙圓弧滾道,則該雙圓弧正弦滾道的齒廓方程為(主動軸為例):左齒面齒廓方程:

式中 r′——滾道半徑(mm);
△r——滾道半徑與活齒半徑之差(mm);
β——接觸角(rad)。
右齒面齒廓方程同左齒面方程,其中接觸角β取負值。
2.3.4齒面仿真
采用Matlab工程軟件對圓柱正弦活齒傳動進行齒面仿真的研究。為仿真出三維曲面,在接觸線上劃分100個單元,在齒面圓周方向劃分1001個單元,由此將齒廓曲而劃分為100×1001的網格。根據數學模型計算出各個網格節點對應的數值,得到齒廓曲面的網格圖,然后采用二維線性插值的方法,得到整個齒廓的曲面仿真及齒面嚙合偏真如圖2-7~圖2-9所示。

上一頁
下一頁