|
第5 章彈性聯軸器有限元分析
5.1ANSY 概述
5.1.1 ANSYS 簡介
隨著計算機技術的高速發展,數值計算在工程中已得到越來越廣泛的應用,大型的計算軟件,如ANSYS已被廣泛應用于結構分析、熱力學分析、電磁場分析、流體分析、耦合場分析等領域。
ANSYS是一種廣泛的商業套裝工程分析軟件。所謂工程分析軟件,主要是在機械結構系統受到外力負載所出現的反應,例如應力、位移、溫度等,根據該反應可知道機械結構系統受到外力負載后的狀態,進而判斷是否符合設計要求。一般機械結構系統的幾何結構相當復雜,受的負載也相當多,理論分析往往無法進行。想要解答,必須先簡化結構,采用數值模擬方法分析。由于計算機行業的發展,相應的軟件也應運而生,ANSYS軟件在工程上應用相當廣泛,在機械、電機、土木、電子及航空等煩城的使用,都能達到某種程度的可信度,頗獲各界好評。使用該軟件,能夠降低設計成本,縮短設計時間。
ANSYS是由美國ANSYS公司(世界上最大的有限元分析軟件公司之一)世界著名的力學分析專家Orswanson率領科技人員多年研究開發。它能與多數CAL軟件接口,實現數據的共享和交換。它具有豐富和完善的單元庫,材料模型度和求解器.保證了能夠高效的求解各類結構的靜力、動力、線性和非線性問題、穩態和瞬態熱分析及熱-結構耦合問題、靜態和時變磁場問題、壓縮和不可壓縮的流體動力學問題以及多耦合場問題。除具有完全交互式的前后處理功能,它還為用戶提供了多種二次開發工具,ANSYS 提供的開發工具包括4個組成部分:參數化程序設計語言(APDL),用戶界面設計(UIDL),用戶程序特性(UPFS),ANSYS數據接口。
到80年代初期,國際上較大型的面間工程的有限元通用軟件主要有:ANSYS, NASTRAN,ASKA,ADINA,SAP等。以ANSYS為代表的工程數值模擬軟件,是一個多用途的有限元法分析軟件,它可廣泛的用于核工業、鐵道、石油化工,航空航天、機械制造、能源,汽車交通,國防軍工、電子、土木工程、生物醫學、水利、日用家電等一般工業及科學研究。該軟件提供了不斷改進的功能清單,具體包括:結構高度非線性分析、電磁分析、計算流體力學分析、設計優化、接觸分析、自適應網格劃分。它包含了前置處理、解題程序以及后置處理,將有限元分析、計算機圖形學和優化技術相結合,已成為現代工程學問題必不可少的有力工具。
5.1.2 ANSYS的基本使用
ANSYS有兩種模式:一種是交互模式(Interactive Mode),另一個是非交互模式( Batch Mode)。交互模式是初學者和大多數使用者所采用,包括建模、保存文件、打印圖形及結果分析等,一般無特別原因皆用交互模式。但若分析的問題要很長時間,如一、兩天等,可把分析問題的命令做成文件,利用它的非交互模式進行分析。
ANSYS 基本對象的構成:
1)節點(Node ) :就是考慮工程系統中的一個點的坐標位置,構成有限元系統的基本對象。具有其物理意義的自由度,該自由度為結構系統受到外力后,系統的反應。
(2)元素(Element) :元素是節點與節點相連而成,元素的組合由各節點相互連接。不同特性的工程統,可選用不同種類的元素,ANSYS提供了一百多種元素,故使用時必須慎重選擇元素型號。
(3)自由度(Degree Of Freedom) :上面提到節點具有某種程度的自由度,以表示工程系統受到外力后的反應結果。
5.1.3 ANSYS 架構及命令
ANSYS構架分為兩層,一是起始層(Begin Level) ,二是處理層(Processor Level)。這兩個層的關系主要是使用命令輸入時,要通過起始層進入不同的處理器。處理器可視為解決問題步驟中的組合命令,該軟件主要包括三個處理器
模塊:前處理模塊、分析計算模塊和后處理模塊。
(1)前置處理(General Preprocessor, PREP7)
這個模塊提供了一個強大的實體建模及網格劃分工具,用戶可以方便地構造有限元模型。ANSYS 程序提供了兩種實體建模方法:自頂向下與自底向上。
其過程如下:
① 建立有限元模型所需輸入的資料,如節點、坐標資料、元素內節點排列次序
② 材料屬性
③ 元素切割的產生
(2)求解模塊SOLUTION
前處理階段完成建模以后,在求解階段,用戶可以定義分析類型、分析選項、載荷數據和載荷步選項,然后開始有限元求解。其步驟為:
① 施加載荷和約束條件
② 定義載荷步并求解
(3)后置處理(General Postprocessor , POSTI1)
POST用于靜態結構分析、屈曲分析及模態分析,將解題部分所得的解答如:變位、應力、約束反力等資料,通過友好的用戶界面,進行圖形顯示和數據列表顯示。后處理的圖形顯示可將計算結果以彩色等值線顯示、梯度顯示、等位移圖、等應力圖等多種顯示方式進行圖形輸出。
ANSYS 軟件提供的分析類型如下:
(l)結構靜力學分析:用來求解外載荷引起的位移、應力和力
(2)結構動力學分析:用來求解隨時間變化的載荷對結構或部件的影響。
(3)結構非線性分析:對結構非線性導致結構或部件的響應隨外載荷不成比例變化的情況。
利用ANSYS軟件在計算機上進行有限元件分析的流程圖如下圖5.1所示:

5.2ANSYS建模
該課題研究的彈性聯軸器造型如下圖5.2:

在ANSYS中建立模型,先通過建立如5.2所式二分之一的剖面圖,通過繞中軸線旋轉建立模擬模型如下圖5.3

5.3單元選擇和網格劃分
由于模型是三給實體模型,故考慮選擇三維單元,模型中沒有圓弧結構,用六面體單元劃分網格不會產生不規則或者畸變的單元,使分析不能進行下去,所以采用六面體單元。經比較分析,決定采用六面體八結點單元SOLID185,用自由劃分的方式劃分模型實體。課題主要研究對象是聯軸器中橡膠元件,在自由劃分的時候,中間件2網格選擇最小的網格,smart size設置為1,兩端鐵圈的smart size設置為6,網格劃分后模型如圖5.4。

5.4邊界約束
建立柱坐標系R-θ-Z,如5-5所示,R為徑間,Z為軸向

選擇聯軸器兩個鐵圈的端面,對其面上的節點進行坐標變換,變換到如圖5.5所示的柱坐標系,約束節點R,Z方向的自由度,即節點只能繞Z軸線轉
5.5聯軸器模態分析
模態分析用于確定設計中的結構或者機器部件振動特性(固有頻率和振型),也是瞬態變動力學分析和諧響應分析和譜分析的起點。
在模態分析中要注意:ANSYS模態分析是線性分析,任何非線性因素都會被忽略。因此在設置中間件2的材料屬性時,選用elastic材料。
5.5.1聯軸器材料的設置
材料參數設置如下表5-1:
表5.1材料參數設置
| |
鐵圈1 |
中間件2 |
鐵圈3 |
| 泊松比 |
0.3 |
0.4997 |
0.3 |
| 彈性模量Mpa |
2E5 |
1.274E3 |
2E5 |
| 密度kg/m |
7900 |
1000 |
7900 |
5.5.2聯軸器振動特性的有限元計算結果及說明
求解方法選擇Damped方法,頻率計算結果如表5-2,振型結果為圖5.6:
表5.2固有頻率
| SET |
TEME/FREQ |
LOAO STEP |
SUBSTEP |
CUMULATIVE |
| 1 |
40.199 |
1 |
1 |
1 |
| 1 |
73.632 |
1 |
2 |
2 |
| 3 |
132.42 |
1 |
3 |
3 |
| 4 |
197.34 |
1 |
4 |
4 |


(l)一階振型
頻率為40.199Hz,振型表現為大鐵圈和中間件順時針旋轉(從小鐵圈觀察),小鐵圈逆時針旋轉。
(2)二階振型
頻率為73.632Hz, 振型表現為大鐵圈,中間件和小鐵圈同時順時針旋轉(從小鐵圈觀察)。
(3)三階振型
頻率為132.42Hz,振型表現為大鐵圈和小鐵圈同時逆時針旋轉(從小鐵圈看),中間件順時針旋轉,由上圖我們可以發現,在這個頻率下是聯軸器最容易發生斷裂。
(4)四階振型
頻率為197.34Hz,振型表現為大鐵圈,中間件和小鐵圈同時逆時針旋轉(從小鐵圈觀察)。
5.6 聯軸器瞬態動力學分析
為了簡化計算方法和節省計算用時,首先對聯軸器的模型進行簡化。因為鐵圈上的螺孔的存在會大大的影響計算的復雜程度和時間,但對計算結果的影響卻微乎其微,所以決定建模時省略螺孔。簡化后的模型網格劃分后如下圖5.7:

由于橡膠的特殊機械性能,在進行計算機模擬時,必需把非線性因素考慮進去。
5.6.1 非線性分析的基本信息
ANSYS程序應用NR(牛頓-拉斐遜)法來求解非線性問題.在這種方法中,載荷分成一系列的載荷增量.載荷增量施加在幾個載荷步.圖5.8說明了非線性分析中的完全牛頓-拉斐遜迭代求法,共有2個載荷增量。

在每次求解前,NR方法估算出殘差矢量,這個矢量回復力(對應于單元應力的載荷)和所加載和的差值,程序然后使用不平衡載荷進行線性求解,且檢查收斂性.如果不滿足收斂準則,重新估算非平衡載荷,修改剛度矩陣,獲得新的解答.持續這種迭代過程直到問題收斂。
ANSYS程序提供了一系列命令來增強問題的收斂性,如線性搜索,目動載荷步,二分等,可被激活來加強問題的收斂性,如果得不到收斂,那么程序試圖用一個較小的載荷增量來繼續計算。
非線性求解被分成三個操作級別:載荷步,子步和平衡迭代.
(1)頂層級別由在一定“時間”范圍內用戶明確定義的載荷步組成.假定載荷在載荷步內線性地變化。
(2)在每一個載荷步內,為了逐步加載,可以控制程序來多次求解(子步或者時間步)。
(3)在每一子步內,程序將進行一系列的平衡迭代以獲得收斂的解。
下圖5.9說明了一段用于非線性分析的典型的載荷歷史。

5.6.2非線性材料的模擬
材料非線性包括塑性,超彈性,蠕變等,非線性應力應變關系是非線性結構行業的普通原因,如圖5.10:

橡膠是高度非線性的彈性體,應力應變關系較為復雜,在本課題中采用工程中廣泛采用Mooent-Rivlin2參數模型進行橡膠材料的模擬,參數包括C10和C01。
5.6.2.1Mooey-Rivlin常數測量的理論基礎
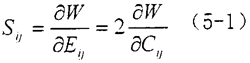
超彈性材料是指具有應變能函數的一類材料數,對應變分量的導數決定了對應的應力量。應變能函數W為應變或變形張量的純量函數,W對應變分量的導數決定了對應的應力量,即:

式中Sij——第二類Piola-Kirchhoff應力張量的分量
W——單位未變形體積的應變能函數
Eij——Green應變張量的分量
Cij——變形張量的分量
式(5-1)為超彈性材料的本構關系,可以看出,建立本構關系就是要建立應變能函數的表達式。Mooney-Rivlin模型是1940看由Mooeny提出,后由Rivlin發展的。其中一般形式為

式中Crs——材料常數
I1,I2——Cauchy變形張量的不變量
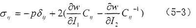
超彈性不可壓縮材料的本構方程可表示為:

式中σij——Cauchy(真實)應力張量的分量
P——靜水壓力
δij——Korneker算符
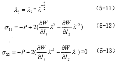
下面假設取變形的主方向為坐標軸方向,則Cauchy變形張量用矩陣形式表示為:

式中λ1——i方向的主伸長比

式中εi——i方向工程應變主值
所以Cij的不變量表示為

由不可壓縮條件: ,考慮薄式片受簡單拉伸的情況,即試片一個方向受拉力,另兩個方向自由,假設受拉方向為1,則有:

給定伸長比λ2=λ,則:

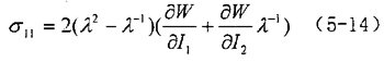
由式(5-13)解出P代入式(5-12)得:

根據所取W的具體形式,可求出 的表達式,其中含有材料常數,由試驗數據求得各伸長比及對應的應力,將多個試驗點的λ和σ11代入式(5-14),可求得這些材料常數值。
5.6.2.2試驗測試
實驗采用長的薄式片作為拉伸試樣,通過拉伸計算伸長比λ和應力σ。
按式(5-14)進行回歸分析,求解回歸系數,將式(5-14)中的應力理論值σ11表示為σi(Cjk)(下標i表示數據點序號),用最小二乘法求回歸系數Cjk。殘差平方和為:

通過對R最小化,求Mooney—Rivlin常數C10,C01。

可求得最小二乘意義下的Mooney-Rivlin常數C10,C01。
5.6.2.3橡膠材料的硬度與C10和C01,的關系
G或E與材料常數的關系為

文獻給出了橡膠硬度Hr(IRHD硬度)與彈性模量E的試驗數據,經擬合得:

通過硬度利用式(3-38),(5-20)得出G,E,將G,E代入(5-18),(5-19)求出C10和C01。
橡膠的硬度為70,通過計算確定C10和C01分別為1.14Mpa和0.023Mpa。ANSYS中參數設置如圖5.11和5.12所示,其中

式中d—橡膠材料的不可壓縮比
v—像膠材料的泊松比,0.4997

5.6.3施加載荷
在小鐵圈端施加205-105cis314t的動載荷,為了能夠清楚地看到動態變化的過程,我們取兩個周期。在0.001秒施加第一個載荷,T1=100,迅速達到電動機工作狀態。對于正紡載荷,將每四分之一周期劃分成五小段,每一個小段作為1個載荷步,一共可分為20個載荷步。載荷點和施加過程如圖5.13和圖5.14所示:

考慮到計算的精確性和計算時間,每個載荷步分成5個子步。
5.6.4計算結果及說明
ANSYS常用的求解器有:波前求解器、稀疏矩陣直接求解器、雅克比共扼梯度求解器(JCG)
,不完全喬列斯基共扼梯度求解器(ICCG)、前置條件共扼梯度求解器(PCG)
前兩種為直接求解器,后二種為迭代求解器。本課題采用JCG求解器。計算結果如下圖5.15所示:


(1)為大小鐵圈的相對轉角,之所以振幅越來越小是因為理論值中的齊次方程的解隨著時間越來越接近于0。(2)為大小鐵圈的相對角速度;(3)為相對角加速度。速度和加速度都以類似于正弦曲線發生改變,之所以沒有完全按照正弦,是由于阻尼的存在,大大緩解了激勵載荷對聯軸器的影響。
上一頁
下一頁
|