2 新型雙環減速器的設計及研制
2.1 引言
少齒差雙環行星減速器,由于具有功率分流、內嚙合和多齒接觸等特點,且具有結構簡單、體積小、重量輕、傳動比大、傳動效率高、承載能力強、制造成本低等優點。近年來已開始在冶金、水泥、船舶、環保、建筑等各工業部門推廣應用。三環減速器己經系列化生產并有相應的行業標準。但雙環減速器目前仍無相應的行業標準。
2.2 雙環減速器的基本原理分析
漸開線少齒差行星齒輪傳動按傳動形式可分為N 型(K-H型)和NN型(2K-H 雙內嚙合型)兩大類, N型內齒行星齒輪傳動的基本結構形式之一—環式減速器(單環、雙環、三環及四環),三環減速器基本結構及傳動原理見文獻,四環減速器是具有四個偏心軸頸的高速軸,四個傳動內齒輪通過軸承安裝在高速軸上,四個內齒輪與外齒輪嚙合來傳遞運動和動力,嚙合瞬時相位差呈。本文雙環減速器實驗樣機實用新型是由一種由一級普通齒輪傳動和一級平行動軸少齒差傳動構成的減速裝置(如圖2.1所示),一級普通齒輪由三個相互嚙合的外齒輪l、4 構成,其中兩個外齒輪4安裝在兩根互相平行且各具有兩個偏心軸頸的輸入曲軸3上,兩個傳動內齒板5通過軸承6安裝在高速輸入偏心軸3上,外齒輪7的軸8為低速軸,其軸線與輸入曲軸3的軸線平行,低速軸8通過軸承10支承在機體11上,兩個內齒輪5與外齒輪7嚙合,嚙合瞬時相位差呈180°。其運動是這樣實現的:動力從普通2輸入,通過一級普通齒輪傳動1、4將功率分流到少齒差傳動中的兩曲柄輸入軸3上,實現雙曲柄輸入軸的同步,并利用雙輸入來克服由互成180°的曲柄輸入軸3和內齒板5所構成的雙相并列雙曲柄機構的死點,雙內齒板5與輸出外齒輪7嚙合,嚙合相位呈180°,實現功率合流輸出。在輸出軸8的支承軸承10的外圈加裝有彈性均載裝置9,以補償因制造和裝置誤差。

2.3 雙環減速器的設計
對于少齒差內嚙合傳動,其內嚙合齒輪副幾何計算的突出問題是避免干涉的問題,雖然采用短齒和正變位齒輪可以有效地解決這一問題,但隨之而來的是引起重合度的降低,因此幾何計算的一個主要內容就是從兼顧這兩方面的要求出發,合理地選擇各項參數。各參數限制條件較多,計算極為復雜,如果參數選擇不當,不能滿足全部的限制條件,就會發生種種干涉現象,導致減速器質量差、壽命短。為了保證內嚙合傳動的強度和正確嚙合,避免內齒輪副干涉,常規的設計方法,必須從多種方案中通過大量計算、比較來選擇,即使這樣也不能得到最佳的方案。此外,為減少重復計算及縮短產品的開發周期,將現代設計方法,如有限元分析、優化設計、可靠性設計等應用到產品設計中;在計算機上進行建模、分析、仿真、干涉檢查等等都是非常必要的。
2.3.1 少齒差內嚙合齒輪傳動齒輪變位系數的確定
在少齒差內嚙合傳動中,變位系數的確定是設計的關鍵。齒輪的實際幾何尺寸與齒輪的加工方法有直接的關系,所以用不同的齒輪加工方法的計算公式來推導變位系數的迭代公式,所得迭代結果不一樣。目前使用最廣泛的行星齒輪和中心齒輪的加工方法是范成法。外齒輪大都采用螺旋形的齒輪滾刀在滾齒機上切制而成,內齒輪通常是采用插齒刀在插齒機上插制而成。
在少齒差內嚙合傳動中,各種干涉驗算條件是否滿足,取決于齒輪的有關參數,例如,齒輪模數m,齒數Z1、Z2,齒輪壓力角a,齒頂高系數ha*、ha0*,徑向間隙系數c*,插齒刀的齒數Z0,變位系數X01、X02、Xl、X2等等。
內嚙合的嚙合方程如下:

從式(2.1)可知,當齒輪的齒數Z1和Z2及齒輪壓力角a為固定不變的數值時,嚙合角a′是Z1和Z2的函數。
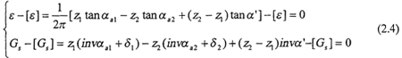
在少齒差嚙合傳動設計中,主要考慮的限制條件是重合度ε和齒廓干涉系數驗算值Gs。
GS=Z1(invaa1+δ1)+(Z2-Z1)inva′-Z2(invaa2+δ2) ≥0 (2.2)
目前在少齒差嚙合傳動設計中只用直齒,所以用端面重合度評價理論上的運轉連續性。

顯然,如果按重合度的預期要求來確定變位系數,當齒數Z1、Z2,齒輪壓力角a,齒頂高系數ha*為定值時,式(2.3)中aa1、-aa2、a′是Xl、X2的函數。

同樣,如果按不產生齒廓重迭干涉的預期要求來確定變位系數,式(2.2)中的各變量也是Xl、X2的函數。
將Xl、X2取作獨立變量,a′取作中間變量,按滿足重合度及重迭干涉的預期要求,建立如下限制條件方程組:

方程組(2.4)的[ε]、[GS]分別是滿足設計要求的重合度值及重迭干涉驗算值。
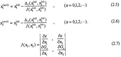
方程組(2.4)的求解,實際上是兩條限制曲線交點的求法,如圖(2.2)所示。根據文獻,求點X1和X2,用牛頓法迭代,逐步逼近到交點。其迭代程序如下:


接上述迭代程序求得齒輪變位系數X1和X2,變位系數是否滿足設計要求,同時還需要進行其他限制條件的驗算。變位系數迭代計算程序框圖見圖2.3。

2.3.2 新型雙環減速器結構的確定
原有的單環、雙環、三環及四環減速器(專利號:ZL89213292.2、ZL91230087.6、CN85106692.5、ZL93239404.3),采用少齒差傳動原理,具有結構簡單、傳動比大、承載和過載能力強等優點。但通過理論分析和實驗證明該類傳動裝置在實際使用過程中存在振動、噪聲、溫升及軸承早期破壞等。在連續運轉、重載、高速、大傳動比工況下問題更為突出,大大影響了其推廣進程,成為亟待解決的技術難題。簡單的依靠提高減速器的加工和安裝精度不能解決問題。對于三環和四環減速器,由于三相和四相傳動環板互成120°和90°,加工精度難以保證,致使在三相和四相并列雙曲柄機構不同步,導致在運轉過程中出現相互干涉而產生振動、噪聲及發熱;同時由于采用三相和四相傳動環板,兩根高速輸入偏心軸不得了采用偏心套結構,偏心套與高速軸通過鍵連接,在運轉過程中存在不均勻的微動磨損,引起行星軸承發熱、燒傷及偏心套與軸之間配合間隙增大,而導致不同步。對于單環和雙環減速器為了克服死點,采用一對過橋齒輪,由于過橋大齒輪采用空套形式,導致了運動不確定而產生振動、噪聲和發熱;同時該結構亦采用偏心套方式,存在微動磨損,而導致振動噪聲和發熱。
根據以上分析,本文設計了如圖2.1 所示的新型雙環減速器結構,并申請獲得了國家實用新型專利(專利號:ZL 01 2 06843.8),其特點如下:
1、由一級普通齒輪傳動和一級平行軸少齒差傳動構成的減速裝置,其特點是通過一級普通齒輪傳動1、4 使功率分流到平行軸少齒差傳動中的兩曲柄輸入軸3上,利用雙輸入來克服由互成180°的曲柄軸和內齒板5所構成的雙相并列雙曲柄機構的死點,雙內齒板5與輸出外齒輪7互成180°嚙合,實現功率合流輸出。
2、通過一級傳動實現雙軸同步輸入,兩塊傳動內齒板5與輸出齒輪7互成1 80°嚙合,兩塊傳動內齒板5通過軸承6安裝在兩根二級輸入高速曲柄軸5的曲柄上,克服了微動磨損。
3、為了保證兩根曲柄輸入軸3的偏心曲拐的偏心量具有同等精度。在加工工藝上采用兩輸入偏心曲軸3作為一根曲軸加工,待加工好后再一分為二的方法。
4、在輸出軸8的支承軸承10、11的外圈加裝有彈性均載裝置9,以補償因制造和裝置引起的誤差。
5、根據特點1,本傳動裝置具有多級輸入的特點,即可以使用一個及一以上的個動力源。
根據上述特點分析,證明本文使用新型雙環減速器是提供一種具有既保證同步輸入又克服微動磨損的平行動軸少齒差環式減速器,該減速器結構緊湊,傳動比大,承載和過載能力強,加工工藝簡單,加工精度易保證,制造成本低,能很好的解決在運轉過程的發熱快、振動和噪聲大這一問題,使該類減速器的實用范圍得到進一步推廣。
本實用新型是由一種由一級普通齒輪傳動和一級平行動軸少齒差傳動構成的減速裝置,一級普通齒輪由三個相互嚙合的外齒輪1、4構成,其中兩個外齒輪4安裝在兩根互相平行且各具有兩個偏心軸頸的輸入曲軸3上,兩個傳動內齒板5通過軸承6安裝在高速輸入偏心軸3上,外齒輪7的軸8為低速軸,其軸線與輸入曲軸3的軸線平行,低速軸8通過軸承10、11支承在機體12上,兩個內齒輪5與外齒輪7嚙合,嚙合瞬時相位差呈180°。其運動是這樣實現的:動力從普通2輸入,通過一級普通齒輪傳動1、4將功率分流到少齒差傳動中的兩曲柄輸入軸3上,實現雙曲柄輸入軸的同步,并利用雙輸入來克服由互成180°的曲柄輸入軸3和內齒板5所構成的雙相并列雙曲柄機構的死點,雙內齒板5與輸出外齒輪7嚙合,嚙合相位呈180°,實現功率合流輸出。在輸出軸8的支承軸承10、11的外圈加裝有彈性均載裝置,以補償因制造和裝置誤差。兩根輸入曲軸3互成180°的兩個偏心曲拐在加工工藝上采用一根曲軸加工,再一分為二,以保正兩根偏心曲軸偏心量的精度。因去掉了偏心套,克服了微動磨損,同時加工工藝簡單,加工精度易保證。
2.4 雙環減速器齒輪參數設計及實驗樣機制造
在少齒差內嚙合傳動中,變位系數的確定是設計的關鍵。齒輪的實際幾何尺寸與齒輪的加工方法有直接的關系,所以用不同的齒輪加工方法的計算公式來推導變位系數的迭代公式,所得迭代結果不一樣。內嚙合齒輪參數計算模塊中,已經由公式(2.5)~(2.9)推導了少齒差內嚙合傳動的各種實際加工情況下的變位系數的計算迭代公式,圖(2.3)為齒輪變位系數計算框圖。
在變位系數的迭代計算過程中,齒輪變位系數的迭代值會影響實際中心距值,考慮到工廠加工的實際情況,對實際中心距值要進行兩位小數的圓整。本文的雙環減速器的內嚙合齒輪參數為:齒輪模數m=2,外齒輪齒數Zl=56,內齒輪齒數Z2=58,齒頂高系數ha*=0.7,徑向間隙系數c*=0.25,插齒刀的齒數為Z0=38,齒頂高系數ha0*=1.25,變位系數X0=0.42。取重合度[ε]=1.1,齒廓干涉系數[GS]=0.05進行迭代計算,當外齒輪用滾齒刀加工,內齒輪用插齒刀加工時,迭代結果為X1=1.37,X2=1.685,圓整中心距a=2.42mm,嚙合角a′=39.039°,實際重合度ε=1.124,齒廓干涉系數GS=0.05047。當內外齒輪都用插齒刀加工時,迭代結果為X1=1.231,X2=1.528,圓整中心距a=2.4mm,嚙合角a′=38.456°,實際重合度ε=1.1025,齒廓干涉系數Gs=0.050。計算結果見表2.1所示:
表2.1 內嚙合齒輪參數
原始參數 |
m |
Z1 |
Z2 |
ha* |
c* |
Z0 |
X0 |
ha0* |
[ε] |
[GS] |
2 |
56 |
58 |
0.7 |
0.25 |
38 |
0.42 |
1.25 |
1.14 |
0.5> |
迭代計算結果 |
X1 |
X2 |
a |
a′ |
ε |
GS |
外齒輪用滾齒加工
內齒輪用插齒加工 |
1.37 |
1.685 |
2.42 |
39.039° |
1.124 |
0.05047 |
X1 |
X2 |
a |
a′ |
ε |
GS |
外齒輪和內齒輪都用插齒加工 |
1.231 |
1.528 |
2.4 |
38.456° |
1.1025 |
0.050 |
根據以上計算的齒輪參數,用內齒環板CAD子系統對齒輪的彎曲強度、接觸強度、有限壽命進行初步校校,然后在ideas軟件中進行環板及輸出齒輪的實體建模,再采用網格自動剖分技術實現齒輪和齒廓的有限元網格劃分,進而采用有限元分析技術,對齒輪進行更精確的靜、動態力學分析,校合強度,分析齒廓的變形,分析齒廓的幾何形狀,預測齒輪的重合度。在分析和修改后最終確定齒輪的形狀和參數,計算齒輪的加工參數,生成齒輪的零件圖,轉入圖形數據庫。
圖2.4 為根據計算參數,在ideas軟件中得到的內齒環板實體造型圖。



圖2.5為本文雙環減速器輸出齒輪軸實體造型圖。圖2.6為本文雙環減速器實驗樣機的裝配圖的俯視圖。本文的雙環減速器實驗樣機,采用一種新型的環式行星傳動裝置。
圖2.7為本文雙環減速器實驗樣機的實體裝配造型圖

2.5本章小結
在闡述雙環減速器工作原理的基礎上,分析了原的單環、雙環、三環及四環減速器(專利號:ZL89213292.2、ZL91230087.6、CN85106692.5、ZL93239404.3)的結構特點及運動特性,針對不足,設計、研制了一種新型的雙環減速器,并制造了實驗樣機,用I-Deas軟件建立了實驗樣機的所有零件的實體模型,進行了虛擬裝配及運動模擬。同時申請并獲得國家實用新型專利(專利號:ZL 01 2 06843.8)。
上一頁
下一頁