3.5二齒環內齒行星傳動的動力分析模型
二齒環內齒行星傳動機構與一齒環內齒行星傳動機構的結構形式基本相同。它是由兩片相位差為180°的行星齒板與輸出齒輪嚙合傳遞運動和動力的。
3.5.1雙軸式雙軸輸入二齒環內齒行星傳動
該類傳動是通過定軸傳動機構使動和傳遞到兩根高速軸上形成雙軸輸入,見圖3-4所示。由動力分析基本方程令m=2,N=2得



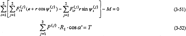
由式(2-7)計算得該結構形式的靜不定次數S=3。根據約束高速軸之間的位移協調方程式及約束高速軸與低速軸之間的位移協調方程式(3-11)和(3-12b)及(3-13)得

由式(3-53)消去
可得到一個補充方程,由式(3-54)、(3-55)消去
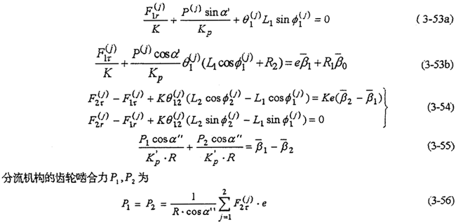
可得兩個補充方程,一共恰好3個補充方程。故由式(3-48)~(3-56)構成了雙軸輸入式二齒環內齒行星傳動機構的動力分析模型。通過計算機可以求出任意布置(高速軸)的結構形式的解。下面經出對稱布置和偏置式的解。



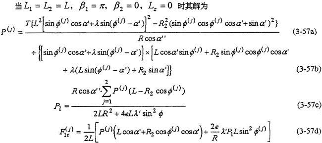
由式(3-57)及(3-58)比較可知,偏置式受載比對稱式的受載波動大(隨轉角),因而使箱體產生的振動也就更強烈。

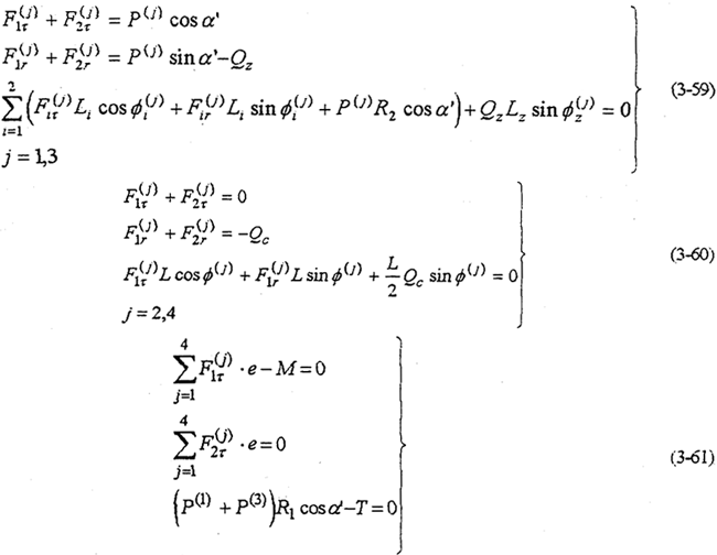
3.5.2多相并列雙曲柄輸入式二齒環內齒行星傳動
這種傳動的結構形式如圖3-5所示。它由四相(套)雙曲柄機構作為傳動的輸入機構。相鄰兩相機構之間的相位差90°。其中有兩相雙曲柄機構的連桿帶行星內齒輪,即為傳動機構的兩片行星齒板。齒板之間的相位差互為180°。該機構的動力分析基本方程為

該傳動機構的靜不定次數S=4。由高速軸之間的約束條件式(3-11)及高速軸與低速軸之間的約束條件式(3-13)得


以上兩式消去
——共可得到4個方程。由式(3-59)-(3-63)就構成多相并列雙曲柄機構輸入式二齒環內齒行星傳動機構的動力分析數學模型。
當L1=L2=L,β1=π,β2=0時,解動力分析模型得:


由解式(3-64)可見,嚙合力并不等于常量,而是與轉角φ及連桿慣性力QC等因素有關。設計時應保證P(j)≥0,以免內齒輪副發生干涉,出現負向嚙合圖現象。
3.5.3 多軸式二齒環內齒行星傳動
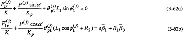
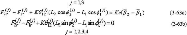
采用多軸(多曲柄機構)式的內齒行星傳動是為了克服機構出現不確定的“死點”位置。故這種機構可以實現單齒環傳動。但是為了增加傳動裝置的承載能力,往往也采用二齒環或多齒環傳動形式。由于傳動齒板增加,各從動轉臂高速軸不再屬于二力構件。因此各軸的切向行星軸承載荷F(j)it≠0。以三軸式為例其動力分析基本方程為

通過靜不定次數計算,S=5。根據各軸之間的約束條件得

由以上10個補充方程消去
便可剩下5個方程。由方程式(3-65)~(3-77)構成了三軸式二齒環內齒行星傳動機構的動力分析數學模型。
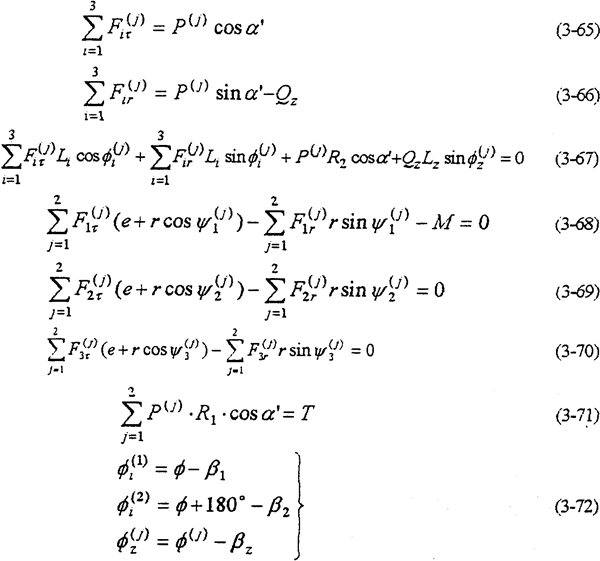
3.6 多齒環內齒行星傳動的動力分析模型
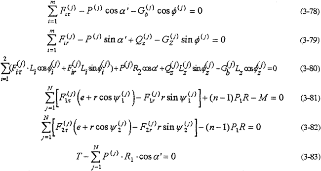
多齒環內齒行星傳動就是平行軸多相并列雙曲柄輸入式少齒差人齒行星傳動。齒板通常在三片以上,采用雙軸(兩根高速軸)布置。如三環減速器、四環減速器等傳動裝置。在實際結構中,根據需要可雙軸輸入,也可單軸輸入。由于各相之間是通過轉臂高速軸傳遞扭矩來克服機構“死點”,以及各行星齒板變形不一致,各種加工、安裝誤差等原因,不能孤立地把各曲柄(偏心套)當作二力桿件處理。即各F(j)it≠0。故其動力分析基本方程為

式中當n=1時,為單軸輸入,n=2時,為雙軸輸入。
該類傳動機構的靜不定次數為S=2N+n-3。單軸輸放時S=2N-1。根據各軸之間位移約束條件式(3-14)得。


由式(3-78)~(3-85)就能完全確定整個機構的動載荷。當N=2時為二齒環傳動,N=3時為三齒環傳動,N=4時為四齒環傳動。因此式(3-78)~(3-85)實際上是多軸式以外的各各類型的內齒行星傳動機構的動力分析方程。
3.7 考慮運動副間隙的動力分析補充方程
在前面的動力分析模型中,均忽加重了機構的間隙誤差。實際上間隙誤差是引起內齒行星傳動機構產生沖擊振動的主要原因之一。在沒有間隙誤差時,內齒行星傳動的輸入機構是平行四邊形雙曲柄機構,機械可以順利運轉。但一旦有間隙誤差時,就不再是平行四邊形機構,而變成了曲柄搖桿機構。如要使整個機構連續整轉,必須要克服曲柄搖桿機柄的死點,而產生載荷沖擊,引起傳動機構振動。由于間隙誤差引起的載荷沖擊通常比正常時的載荷要大幾倍甚至10倍以上。因此,如要準確地對內齒行星傳動進行動力分析,必須要把機構的間隙誤差考慮進去,建立完整的動力分析模型。
當只考慮接觸變形和運動副間隙時,各軸之間的約束方程為:

式(3-86)、(3-87)就是考慮間隙誤差的動力分析補充方程。
上一頁
下一頁