上式方程數為9個,而方程中未知量的總數為12個,故存在3個多余未知量。根據前述的變形協調條件,建立3個變形協調方程,作為機械受力分析的補充方程,利用高斯消元法即可求解。

本文研究的傳動比i=21的相位差為180°的偏置型三環減速機,其傳動技術參數為:
L1=145mm,L2=145mm,Z1=42,Z2=44,m=3.5mm,α=20°,α′=37.356°,T=875N·m,n=1440r/min,b1=19mm,b2=38mm。則兩輸入軸的偏心軸頸上的環板軸承載荷FAi、FBi隨輸入曲柄轉角φ變化的曲線如圖2-20、2-21所示。
偏置型三環減速機的環板軸承所受載荷比對稱型三環減速機大很多,在設計和實際使用中應盡量避免采用這種結構布置形式。雖然對稱B型和偏置型三環減速機的受力性能不如對稱A型三環減速機,但是由于它們的兩個輸入軸比較接近,故而易于實現雙驅動。
在相同的傳動技術參數條件下,對稱A型三環減速機偏心軸頸的環板載荷最小,也就是說它的受力性能最佳。

再次分析星型少齒差減速機的情況,圖2-22所示為星型減速機一塊環板的結構圖,它的受力情況和坐標系選取如圖2-23所示。

對作用于星型環板上的平面力系,可列出靜力平衡方程:

式中rb2——內齒輪基圓半徑;
Fn——環板上嚙合力,切于基圓,指向嚙合點。
如果不計兩上支承軸重力的影響,則兩上支承軸O2B、O3C可看作二力桿,它的作用力如圖所示。不考慮制造誤差和載荷分配不均勻因素的影響,可以補充方程:F2=F3,則聯立求解得到:

本文研究的傳動比i=21的星型少齒差減速機,傳動技術參數為:
L=112.5mm,L′=129.9mm,Z1=42,Z2=44,m=3.5mm,α=20°,α′=37.356°,n=1440r/min,T=300N·m,b=20mm。則輸入軸、兩個支承軸的偏心軸頸上的環板軸承載荷F1、F2、F3隨輸入曲柄轉角φ變化的曲線如圖2-24所示。

星型少齒差減速機雖然只有一片內齒環板,結構簡單,易于滿足傳力條件和裝配條件。但是它的環板軸承所受載荷在傳遞相同的輸出扭矩的情況下比對稱型、偏置型三環減速機大很多,環板及其軸承較易損壞,在設計和實際使用中應避免采用這種結構布置形式。
求得環板上的軸承反力后,通過輸入軸和輸出軸的受力分析,不難求得箱體上各軸承的反力及曲柄上的轉矩。
嚙合角α′是三環減速機內嚙合傳動的重要參數,由嚙合角的變化而引起的環板軸承載荷的變化規律可以得到某些重要結論。環板軸承載荷幅值隨嚙合角變化的曲線如圖2-25、2-26所示。

由圖2-25、2-26可以看出,三環減速機的環板軸承載荷幅值隨著嚙合角α′的增大反而減小,但是隨著嚙合角的變化環板軸承載荷幅值的變化很小,變化幅度約在10ON左右,可見嚙合角對環板軸承載荷的影響較小。環板軸承載荷幅值的下降是因為當嚙合角增大后,嚙合力在x方向的分量下降的緣故。
2.3.4兩種三環減速機受力性能的比較
環板偏心之間的相位差為120°、環板厚度相同的三環減速機能夠使慣性力靜平衡,但是慣性力動不平衡;而本文提出的環板偏心之間的相位差為180°、中間環板的厚度為兩側環板厚度的兩倍的兩級三環減速機慣性力不僅靜平衡,而且動平衡。假定三環減速機三片內齒環板完全均載,則前-種三環減速機的嚙合力平衡,但是形成-力偶矩;而后一種三環減速機的嚙合力不僅靜平衡,而且動平衡。
環板單位寬度上的受力是衡量三環減速機受力性能的重要指標。本章比較相同傳動技術參數下的環板偏心相位差分別為180°和120°的對稱A型三環減速機環板單位寬度上的載荷情況。對于傳動比i=21的相位差為120°的對稱型三環減速機,傳動技術參數為:
L1=145mm,L2=145mm,Z2=42,Z1=44,m=3.5mm,a=20°,a′=37.356°,T=875N·m,n=1440r/min,b1=b2=25mm。則環板左孔Ai單位寬度上的載荷fa、環板右孔Bi單位寬度上的載荷fb隨輸入曲柄轉角φ變化的曲線如圖2-27所示。
由圖2-27可以看出:在相同的傳動技術參數下,兩種三環減速機內齒環板單位寬度上的載荷呈簡諧規律變化,相位差為120°的三環減速機環板單位寬度上的載荷比相位差為180°的三環減速機環板單位寬度上的載荷大約30%,也就是說,在受力性能上,本文提出的相位差為180°、中間環板厚度為兩側環板厚度兩部的新型三環減速機較優越。

2.3.5一級齒輪傳動的受力分析
三環減速機是為適應現代機械設備對傳動機構的新要求而開發的一種以漸開線少齒差行星齒輪傳動原理工作的新型傳動裝置,本文所研究的三環減速機傳動結構如圖2-28所示,它由兩根二級高速偏心輸入軸1,低速輸出軸2,三片內齒環板(兩塊兩側環板3和一塊中間環板3′)和外齒輪4構成。三片內齒環板偏心安裝在兩根高速軸上1上,為了克服二級偏心輸入軸的死點位置和增大傳動比,采用兩個分流定軸齒輪5分別帶動兩個偏心輸入軸,而齒輪5則由一級輸入軸7上的主動齒輪6帶動。三個內齒環板偏心之間的相位差為π,并且考慮慣性力平衡,中間環板的厚度取為兩側環板厚度的2倍,它們都與外齒輪4相嚙合,外齒輪4安裝在輸出軸2上,各軸均平行配置。

不考慮摩擦時,輸出扭矩T2為輸入扭矩T1與機構的總傳動比i的乘積:
T2=T1·i
式中 i=i1·i2,
i1——一級傳動比;
Z5——分流齒輪齒數;
Z6——一級主動齒輪齒數;
i2——二級傳動比。
考慮摩擦時,則應再乘以傳動效率η:
T2=T1·i·η
式中 η=η1·η2
η1——一級傳動效率;
η2——二級傳動效率。
輸出扭矩T2是產生嚙合力Fn的源泉。
對于本文研究的樣機HITSH145來說,它的相關傳動技術參數為:
Z1=42、Z2=44,mII=3.5mm,Z5=Z6=70、Z7=46、mI=2.5mm,T2=875N·m。
一級傳動齒輪受力分析如圖2-29所示,a)、b)、c)分別為分流齒輪5、主動齒輪7、分流齒輪6受力分析圖,二級傳動傳比
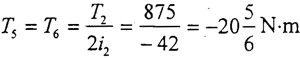
,假定分流齒輪5、6均載,如果不考慮傳動效率,則應有:

式中“-”號表示分流齒輪扭矩T5、T6與輸出扭矩T2轉向相反。


式中
rb5——分流齒輪5或6的基圓半徑;
mI——一級傳動的模數。
根據作用力和反作用力的關系,則有:
Fn5′=Fn6′=Fn5=Fn6=253.377N
所以,輸入扭矩T1=2Fn5rb7=54.762N·m
式中rb7——主動齒輪7的基圓半徑。
2.3.6一級輸出二級輸入軸的受力分析
三環減速機內齒環板的轉速較高,且其質量較大,是三環傳動受力分析中不可忽略的因素,故有必要考慮內齒環板的慣性力對一級輸出二級輸入軸的影響。由于兩側環板質量相等,即m1=m3,中間環板的質量m2是兩側環板質量的兩倍,即m2=2m1=2m3,它們的轉速nH相同,參考公式(2-3),則內齒環板的慣性力為:
P1=P3=[π2m(Z2-Z1)m1/1800](cosa/cosa′)nH2
P2=2P1=2P3=[π2m(Z2-Z1)m2/1800](cosa/cosa′)nH2
每片環板的慣性力Pi作用在兩根轉臂偏心軸上,每根軸所受的內齒環板慣性力為Pi/2。
由于中間環板處轉臂偏心軸上放置兩個圓柱滾子軸承NU209/P6,而兩側環板處轉臂偏心軸上放置一個圓柱滾子軸承NU209/P6,假設一個圓柱滾子軸承NU209/P6的質量為mH,它們的轉速nH相同,參考公式(2-4),則轉臂偏心軸所受轉臂偏心軸承的慣性力為:
P1H=P3H=[π2m(Z2-Z1)mH/1800](cosa/coaa′)nH2
P2H=2P1H=2P3H
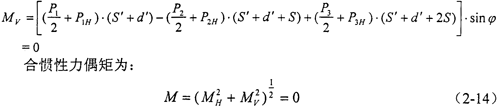
一級輸出二級輸入軸上的慣性力大小及方向如圖2-30所示,假設慣性力與x軸正向所成的角度為φ,則轉臂偏心軸上的慣性力矢量和為:

所以該三環減速機機構慣性力是靜平衡的。
下面分析三環減速機中慣性力偶矩的作用。
在xoy平面內的慣性力偶矩為:

在yoz平面內的慣性力偶矩為:

所以該三環減速機機構慣性力是動平衡的。

2.3.7一級輸出二級輸入軸支承軸承的受力分析
三環減速機箱體支承軸承周期性的作用力是箱體振動的激振力,是三環減速機振動的根源,因此對箱體支承軸承的作用力作深入的探討實屬必要。對于一級輸入袖8和二級輸出軸2來說,軸上作用有輪齒嚙合力、齒輪和軸的重力和兩個支承軸承的作用力。從理論上講,由于是雙輸入軸輸入,嚙合力沿嚙合線長度方向均勻分布,則嚙合力相互平衡,支承軸承只剩下齒輪和軸重力的作用,作用力的求解變得極其簡單。即使考慮載荷分配不均勻的影響,它們的支承軸承作用力的求解也相對容易。下面著重探討一下一級輸出二級輸入軸支承軸的作用力。
由2.3.3分析可知:當求得環板上的軸承作用力FAix、FAiy,FBix、FBiy后,通過輸入軸和支承軸的受力分析,不難求得箱體上各軸承的作用力。兩根一級輸出二級輸入軸的受力分析如圖2-31、2-32所示。
由一級傳動大齒輪的參數,經過簡單計算可得GI=36.8N;由2.3.5分析可知:一級傳動大齒輪的嚙合力FnI=253.377N,且對于OAOA′軸來說,φ=110°,對于OBOB′軸來說,φ=70°。于是由理論力學不難求得兩根軸上支承軸承的作用力Folx、Foly、Fo2x、Fo2y。從而得到OAOA′軸支承軸承作用力隨OAOA′軸轉角的變化規律如圖2-33、2-34所示,OBOB′軸支承軸承作用力隨OBOB′軸轉角的變化規律如圖2-35、2-36所示。
由上述受力分析可知:輸出端支承軸承作用力比輸入端支承軸承作用力大,可見一級傳動對箱體支承軸承的貢獻不大,主要還是二級傳動的作用。因此在第五章中,選取輸出端軸承座作為測振點。OAOA′軸輸出端支承軸承作用力比OBOB′軸輸出端支承軸承作用力、作用力波動幅度略大,主要是由于一級傳動和考慮變形協調條件的影響而致,且周期都為2π,這是OAOA′軸輸出端軸承座振動比OBOB′軸輸出端軸承座振動略大的原因。


2.4本章小結
本章深入探討了我國發明的一種新型減速裝置一三環減速機的傳動原理,并且用瞬心法推導了三環減速機傳動的傳動比公式。
本章在分析三環減速機傳動變形的基礎上,提出了本文的三環減速機相應的變形協調方程。建立了三環減速機傳動系統過約束超靜定機構——多相并列平行雙曲柄的受力分析模型;在考慮環板和轉臂偏心軸承慣性力的基礎上,計算分析了對稱A型、對稱B型、偏置型三環減速機和星型少齒差減速機內齒環板轉臂偏心軸承的受力情況。
在相同的傳動技術參數下,偏置型三環減速機的環板軸承所受載荷比對稱型三環減速機大很多,在設計和實際使用中應盡量避免采用這種結構布置形式;三環減速機的環板軸承載荷幅值隨著嚙合角α′的增大反而減小。
對比分析得出:對稱A型三環減速機的受力性能最佳;相位差為120°的三環減速機環板單位寬度上的載荷比相位差為180°的三環減速機單位寬度上的載荷大約30%,后者的受力性能優于前者。
對一級輸出二級輸入軸的慣性力和慣性力偶矩進行分析,可以得到本文提出的三環減速機不僅靜平衡,而且動平衡。
對三環減速機振動產生的根源一一級輸出二級輸入軸支承軸承的作用力進行分析。
綜上所述,本章提出的三環減速機在受力性能上是優越的。
上一頁
下一頁