5.3.2.2 鼓形齒聯軸器傳動的軸系固有頻率
共軛鼓形齒聯軸器傳動裝置示意圖如圖5-6所示,其相應的軸系力學模型如圖5-7所示,模型中自由端載荷P=G/2,G為聯軸器的重量。

在靜態下,由P所產生的靜撓度為
y0=-[Pa2(l+a)]/(3EI) (5-32)
即
p=3EIy0/[a2(l+a)]=ky0 (5-33)
式中,E為軸材料的彈性模量,I為軸的軸慣性矩,對于圓軸I=πD4/64,D為圓軸直徑;k為軸的靜剛度系數。
在動態情況下,設軸以轉速n轉動,其角速度為ω=nπ/30。由于漸開線內齒輪和鼓形外齒輪間有徑向位移△y,因此,質心C和轉動中心不重合,軸系在轉動過程中則產生離心力F,由此將發生動撓度yd,其位移簡圖如圖5-8所示。

軸系在轉動過程中產生的離心力大小為
F=mRω2=m(△y+yd)ω2 (5-34)
式中,m=P/g。
因為軸在其材料彈性范圍內工作,所以有
F=kyd=m(△y+yd)ω2 (5-35)
即
yd=mω2△y/(k-mω2)=△y/(k/mω2-1) (5-35a)
由式(5-35a)可知,令k/(mω2)-1=0,得到軸系的固有頻率為
ω0=(k/m)1/2=(g/y0)1/2 (5-36)
5.3.2.3 計算實例
一共軛鼓形齒聯軸器臺架試驗裝置,漸開線內齒輪和鼓形外齒輪間徑向位移△y=0.7mm,聯軸器的重量G=150N,兩支座間的軸間距離l=1500mm,聯軸器到支座間的距離a=150mm,軸的當量直徑D=50mm,確定該聯軸器軸系固有頻率ω0及臨界轉速n0。
(1)軸系的固有頻率 根據式(5-36)及已知數據,可得
ω0=261rad/s
(2)臨界轉速
n0=60ω0/2π=2494r/min
通過對共軛鼓形齒聯軸器傳動系統的輪系和軸系分別進行定性和定量分析,對其在傳動過程中的振動機理和系統的固有頻率有了更深的了解,并提出共軛鼓形齒聯軸器傳動的振動誘因主要來源于軸系的觀點。事實上,鼓形齒聯軸器傳動系統的振動機理與固有頻率受輪系與軸系的共同影響,但由于輪系剛度比軸系的彎曲剛度大得多,故輪系的固有頻率遠遠超出軸系的固有頻率,所以鼓形齒聯軸器在重載低速下工作時將遠離輪系固有頻率,因此,輪系的固有頻率對傳動系統的性能和設計不會造成直接影響,而軸系的固有頻率則是傳動系統設計、減振與防御共振的主要依據。
對共軛鼓形齒聯軸器傳動裝置,應避免在其軸系固有頻率附近工作,否則,將發生共振,從而,致使傳動系統噪音極劇增加,振幅迅速加大,若不采取措施,最終會導致傳動系統破壞。
共軛鼓形齒聯軸器傳動減振與共振防御的措施較多,常用的方法是改變齒輪傳動系統的固有頻率,如改變傳動系統輪系轉動質量和轉動慣量,改變傳動系統軸系的剛度,此外,也可以在傳動系統中采用被動的隔振、消振和降振措施。總之,共軛鼓形齒聯軸器傳動的振動問題研究是一項具有理論和實際價值的工作,它的深入研究不僅有利于這種新型傳動件的優化設計,對加工、制造技術和安裝使用都將起到重要指導作用。
5.3.3 鼓形齒聯軸器傳動的強度分析
5.3.3.1 接觸強度分析
在研究齒輪傳動的接觸應力和形變時,到目前為止,傳統的方法就是利用線接觸的平行圓柱體代替某一具體嚙合位置的實際齒面,把該嚙合位置的齒廓曲率半徑當做圓柱體的半徑。這種替換近似計算方法雖然有許多與實際情況不符之處,但迄今為止,在齒輪傳動的強度設計中仍采用這一方法計算接觸問題,即所謂赫茲公式。赫茲公式的應用主要受到以下條件的限制:
(1)兩物體為均勻各向同性的彈性體;
(2)兩物體接觸面與物體表面相比是極微小的;
(3)作用力與接觸面垂直;
(4)加載后材料中的應力不超過其比例極限;
(5)圓柱體為無限長。
這些限制條件對漸開線直齒圓柱齒輪傳動是基本適用的,然而,對鼓形齒聯軸器傳動則存在較大差異,即使是共軛鼓形齒聯軸器傳動的線接觸問題,傳動的不同軸性等因素,使得該傳動的接觸狀態與直齒圓柱齒輪傳動相差甚遠。因此,鼓形齒聯軸器傳動的接觸強度問題不能簡單套用赫茲公式。通常采用數值計算方法進行計算[93-102],比較常用的數值計算方法是有限元法和邊界元法。
(1)接觸問題有限元法
對于共軛鼓形齒輪傳動的接觸問題,除了應滿足彈性力學的一般控制方程外,在接觸面上還應滿足接觸面力和接觸面位移邊界條件,即滿足力學平衡條件,法線方向上滿足位移非嵌入條件,且不計摩擦。在接觸有限元法的求解計算中,為了準確描述接觸面各接觸點對的狀態,將其接觸狀態分別定義為連續狀態、滑動狀態和分離狀態,這樣可以定出不同狀態下的邊界條件關系式。將接觸點對不同接觸狀態下的邊界條件關系式用適當的系數矩陣表示,接觸有限元矩陣形式的方程為

式中,
K、U、P、R——剛度矩陣、位移向量、載荷和接觸面力向量;
角標Ⅰ、Ⅱ——相應兩個接觸的相互共軛的鼓形外齒輪和直齒內齒輪;
角標C——對應的接觸區域;
CⅠ、CⅡ——相應齒輪的接觸點對位移協調條件的系數矩陣;
角標T——對應的非接觸區域;
ε0——位移常數矩陣;
DⅠ、DⅡ、D——接觸點對力學平衡條件的系數矩陣。
若用三角分解算法進行分解消元運算,使與接觸面有關的剛度矩陣變換成為單位矩陣,同時求出相應的系數矩陣的改變DⅠ、DⅡ和載荷向量的改變PⅠ′、PⅠC、PⅡ′、PⅡC,則矩陣方程成為

式中,Ⅱ為單位矩陣。
由此可求出如下接觸面柔度方程
F{Rl}=-{SP}-{ε0} (5-39)
式中,F——接觸面柔度矩陣;
SP——載荷的接觸點對上產生的相對位移向量。
把接觸有限元剛度方程凝縮為僅與接觸面力有關的柔度方程,使得接觸問題的迭代運算規模大大降低,且求解效率提高,能較方便地對共軛鼓形齒輪傳動這類三維復雜嚙合傳動進行數值計算分析。
(2)接觸問題邊界元法
接觸邊界元是將接觸域內任意點的位移與應力值用邊界值即邊界單元的面力與位移來表示。其邊界元法的基本方程為
Uli=∫ΓPkUiK*dΓ+∫∫ΩbkUlK*Plk*dΓ (5-40)
式中,Uli——在i點第l個方向上的位移;
UlK*、PlK*——基本解。
將(5-40)式離散并用矩陣表示,則可得共軛鼓形齒輪傳動的接觸邊界元方程
HU=GT (5-41)
式中,H、G——3n×3n階的系數矩陣;
U、T——邊界節點的位移分量和接觸面力分量。
將(5-41)式中的未知量移到等式左邊,以x表示,將已知量移到等號右邊,以F表示,系數矩陣以A表示,則可得顯式形式的方程
Ax=F (5-42)
用高斯消去法求解線性方程組(5-42),便可求得所有邊界未知位移分量U和接觸面力分量T。
(3)接觸有限元與邊界元計算模型
對共軛鼓形齒輪的有限元網格劃分,采用平行加密法劃分,形成接觸分析粗網格,然后對接觸區作局部細分,求出接觸點對坐標。
對共軛鼓形齒輪用邊界元法進行接觸問題的研究與分析時,首先只需對邊界即齒廓表面進行單元劃分,然后對每個嚙合點即接觸區進行局部細分,不需像有限元法那樣,需從表到里將整個齒輪輪齒進行劃分。
(4)計算實例

基于上述接觸問題的有限元與邊界元計算模型和前面的載荷分析,對一模數m=5mm、齒數Z=40、分度圓壓力角a=20°、分度圓直徑d=200mm、齒寬b=20mm、齒輪材料的彈性常數E=2.1×105N/mm2、泊松比μ=0.3、傳遞扭矩Mn=300N·m的共軛鼓形齒聯軸器鼓形齒輪Ⅰ進行了接觸應力計算,其簡圖如圖5-9所示。該問題接觸應力的有限元與邊界元數值解和接觸應力分布曲線分別如表5-1、圖5-10所示。曲線①(虛線)為接觸應力的有限元解;曲線②(實線)為接觸應力的邊界元解。
表5-1 接觸應力的有限元邊界元數值解
| 齒高/mm |
0 |
2 |
4 |
6 |
8 |
10 |
| 有限元解/(N/mm2) |
-1150 |
-970 |
-840 |
-650 |
-500 |
-320 |
| 邊界元解/(N/mm2) |
-1000 |
-925 |
-800 |
-650 |
-520 |
-370 |
由表5-1與圖5-10可得如下結論:

(1)接觸應力的兩種數值解相當接近,只是在開始進入嚙合和脫離嚙合時有些差異。這主要是算法和計算模型差異所致,但接觸應力的變化趨勢是一致的,且齒高中部附近接觸應力的兩種解答完全一致。
(2)由于兩種解答的一致性,在研究輪齒齒廓接觸應力時,易選用邊界元法,這樣,可減少前處理工作量,提高計算效率。
(3)輪齒在嚙合傳動接觸過程中,齒根處接觸應力與彎曲應力同時達到最大值。其原因主要是齒根部的剛度大于齒頂部,齒頂部的變形以彈性彎曲變形為主,齒根部則以接觸變形為主。
5.3.3.2 彎曲強度分析
鼓形齒聯軸器在傳遞載荷的過程中,其傳動齒輪的輪齒處于懸臂受彎工作狀態。為了保證聯軸器傳動齒輪在工作時不致發生斷齒現象,齒根的最大危險應力必須低于極限值,為此,必須對鼓形齒聯軸器傳動進行彎曲強度計算。通常在一般齒輪彎曲強度設計計算中采用簡單平載面計算法和折載面計算法,這兩種方法的優點是簡單直觀,易于操作,能基本滿足設計要求;其不足就是這兩種方法都是把輪齒簡化為一個懸臂梁的力學模型,應用材料力學的理論來求解,顯然,這里存在誤差。因為材料力學關于梁的理論,只適用于載荷作用點與支點的距離比梁的橫載面高度大得多的梁,亦即所謂淺梁的情況。但此處的輪齒受載力學模型則不滿足這種條件,它實際上是一個短而寬的懸臂梁,應屬于深梁的范圍[103-110]。深梁的彎曲問題材料力學已無能為力,須用彈性力學理論求得解析解,例如可用復變函數解法,通過求解半無限大板邊界有齒形突起的模型錄求應力解。但這種方法在工程設計中往往不夠現實,所以又出現了一種短寬懸臂梁的所謂半經驗解法,這種方法是純材料力學解法和彈性力學解法的一種折中方法,雖然從數學和力學的觀點來看不夠嚴密,但是與試驗結果比較相符,因此,這種方法在很多齒輪傳動的彎曲強度分析和計算中受到廣泛采用[111-119]。對于鼓形齒聯軸器傳動的彎曲強度計算本文采用邊界元數值算法。
(1)彎曲強度的三維邊界元方法
邊界元法是從積分方程方法發展而來的,是繼有限差分法和有限元法之后的一種新的有效的數值分析方法。本節按照邊界積分方程直接法,從三維彈性問題基本微分方程和相應的邊界條件出發,建立該三維問題的邊界積分方程,然后采用離散插值方案數值處理技術,化邊界積分方程為邊界元方程,最后在微機上對鼓形齒聯軸器嚙合時的彈性變形進行三維邊界元計算分析。
(2)三維彈性問題的邊界積分方程
對于三維彈性問題,若以位移為其本未知量,則其基本微分方程和邊界條件可表示為


式中,Uk——某一方向位移矢量;
Uk,l——位移Uk對l方向求一階偏導;
Uk,lj——位移Uk對l和j求二階偏導;
——給定位移邊界SU上位移Ui的已知量;
nj——表面單位法矢分量;
Eijkl——彈性系數張量;
fi——體積力分量;
——給定面力邊界St上面力ti的已知量。
V——三維域;
X——三維域中任意點的坐標列向量。
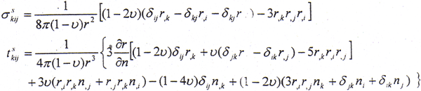
對于各向同性彈性體,根據物理關系可得彈性方程為

式中,σij——正應力;
δij——克羅內克定義符,且有

由此,基本方程和邊界條件(5-43)、(5-44)式可寫為

對于以上三維彈性問題的邊值問題,采用加權余量法可導出域內位移的積分方程為

式中,

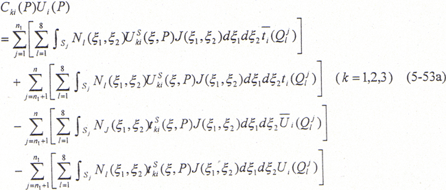
式(5-47)是區域內任意點的位移分量Uk(P)和邊界上的表面力分量ti、位移分量Ui之間的關系,其中Uski和tski分別為線彈性靜力問題的基本解和與基本解對應的表面力。然而,我們所感興趣的則是邊界上的位移分量和表面力之間的關系。Q為域內點,當源點P出域內趨于邊界點時,可導出邊界積分方程為

式中,Cki(P)是與P點處表面幾何特征有關的系數,一般地

對于三維光滑邊界,系數Cki(P)為三階方陣,即

(3)三維彈性問題邊界積分方程的數值解法
一般情況下,不可能應用解析方法來解積分方程,而必須采用近似的數值解法。這里采用邊界元方法,邊界元法將區域的邊界分割n個邊界單元,整個邊界上的積分以n個邊界單元上的積分和表示,在本文中采用4~8節點的變節點等參元,當只有四個角點時,即為線性元,有8個節點時為二次等參元。對于疏密過渡區可采用變節點單元,以適應各種復雜結構的需要,單元形式如圖5-11所示。


式中,ζia——單元的第i個節點的第a(a=1,2)個局部坐標分量。單元內任一點的整體坐標、位移和面力可分別表示為

此處假定將整個邊界離散劃分為N個單元,將(5-52)式代入邊界積分方程(5-48)式,在不考慮體力情況下,可得離散后的邊界積分方程為

在上述n個邊界單元中,若將n1個單元的表面力分量和(n-n1)個單元的位移分量作為邊界條件給出,那么(5-53)式可進一步改寫成

對于邊界上每一個節點均可建立三個線性代數方程,那么,對于n個節點,就可以形成一線性代數方程組,可以用以下形式表示:
HU=GT (5-54)
式中,H、G——3n×3n階的系數矩陣,其元素Hij為3×3階矩陣;
U、T——邊界單元節點的位移分量和表面力分量。
式(5-54)可寫為


將(5-54)式中未知邊界量U、T及相應的系數歸并到方程左邊,已知量
及相應的系數歸并到方程右邊,即可得到如下形式的方程:
Ax=F (5-55)
用高斯消去法求解線性方程組(5-55)式,便可求得所有邊界未知的位移分量U和表面力分量T。
在求出邊界節點的面力及位移后,由(5-47)式可求出域內任一點i處的位移為

其幾何方程為
εij=(Ui,j+Uj,i)/2 (5-57)
物理方程為

將式(5-56)式代入(5-57)式,然后代入(5-58)式,即可得到區域內應力分量的表達式為

式中,

由于邊界面式離散化的,(5-59)式可寫成離散形式

至于邊界點的應力計算,可以利用已經求得的邊界單元的節點位移和面力,求出邊界單元內任一點的應力。
(4)彎曲強度的三維邊界元計算
基于上述分析,可采用三維邊界元法對鼓形齒聯軸器傳動的彎曲應力與形變等進行數值計算與分析,其內外齒輪的三維邊界元計算模型分別如圖5-12、圖5-13所示。


5.4 共軛鼓形齒聯軸器傳動多齒嚙合分析
鼓形齒聯軸器內外齒輪在傳動過程中,受載之前,即不考慮彈性彎形的情況下,各齒對間的嚙合狀態可通過各齒對間工作側的最小間隙角βi進行模擬;而受載后各嚙合齒對將分別產生彈性變形,為了補償輪齒變形后齒廓間可能產生的間隙,使內外齒輪仍然保持連續傳動,以繼續傳遞載荷,主動輪輪體必然產生一個順其自身轉動方向的變形角ω。當載荷增大時,各嚙合受載齒對的彈性變形也隨之增大,則變形角ω也必然隨之增加,因此,外載荷與鼓形齒聯軸器主動齒輪的變形角成正比,即變形角的大小反映了外載荷的大小。當傳遞的載荷增大到使變形角大到一定程度時,就可以消除與理論嚙合齒對相鄰的非理論嚙合齒對齒廓間的最小間隙,從而,使該非理論嚙合齒對也承受部分傳動載荷而產生相應的彈性變形。當外載荷繼續增加,使變形角大到又可消除另外的非理論接觸齒對齒廓間最小間隙,使該齒對也參與嚙合,如此下去,就產生了理論接觸和非理論接觸的鼓形齒聯軸器的多齒嚙合問題。
5.4.1 理論嚙合接觸線分析
由(5-10)式和(5-12)式,通過計算,可以得到內外齒輪嚙合齒面上接觸線坐標,由計算出的坐標值即可繪出接觸線圖形。計算式中對ψ的要求是:
ψf≤ψ≤ψa
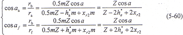
式中,ψa=tanaa,ψf=tanaf;aa、af——內齒輪齒頂和齒根壓力角。且

以m=3mm,Z=56,θ=1.5°,xr1=xr2=0,ha*=1,齒寬按需要取到足夠大為例計算,確定-90°≤φ≤270°區間的若干條接觸線。由建立的齒面方程可知,φ=0時,齒面處于純翻轉位置。由(5-60)式計算得aa=12.968°,af=24.866°。
通過計算,得到內外齒輪齒面接觸線坐標,表5-2給出部分坐標值計算結果。圖5-16所示的為φ間隔2.5°時,內外齒輪齒面轉過一圈所形成的齒面接觸線。
表5-2 外齒輪齒面接觸線坐標
(m=3mm Z=56 a=20° θ=1.5° xr1=xr2=0 ha*=1)
| φ/(°) |
a1/(°) |
z1/mm |
x1/mm |
φ/(°) |
a1/(°) |
z1/mm |
x1/mm |
| -10.0 |
12.968 15.785 18.526 21.181 23.745 |
80.313 15.406 8.358 5.666 4.252 |
81.305 82.046 83.246 84.653 86.241 |
170.0 |
12.968 15.785 18.526 21.181 23.745 |
-80.313 -15.406 -8.358 -5.666 -4.252 |
81.305 82.046 83.246 84.653 86.241 |
| 10.0 |
12.968 15.785 18.526 21.181 23.745 |
3.204 2.863 2.607 2.412 2.263 |
80.924 81.963 83.196 84.616 86.212 |
190.0 |
12.968 15.785 18.526 21.181 23.745 |
-3.204 -2.863 -2.607 -2.412 -2.263 |
80.924 81.963 83.196 84.616 86.212 |
| 30.0 |
12.968 15.785 18.526 21.181 23.745 |
2.571 2.501 2.449 2.413 2.392 |
80.911 81.949 83.182 84.602 86.197 |
210.0 |
12.968 15.785 18.526 21.181 23.745 |
-2.571 -2.501 -2.449 -2.413 -2.392 |
80.911 81.949 83.182 84.602 86.197 |
| 50.0 |
12.968 15.785 18.526 21.181 23.745 |
2.754 2.746 2.749 2.762 2.785 |
80.899 81.936 83.169 84.588 86.182 |
230.0 |
12.968 15.785 18.526 21.181 23.745 |
-2.754 -2.746 -2.749 -2.762 2.785 |
80.899 81.936 83.169 84.588 86.182 |
| 70.0 |
12.968 15.785 18.526 21.181 23.745 |
3.009 3.029 3.058 3.096 3.142 |
80.888 81.925 83.157 84.576 86.170 |
250.0 |
12.968 15.785 18.526 21.181 23.745 |
-3.009 -3.029 -3.058 -3.096 -3.142 |
80.888 81.925 83.157 84.576 86.170 |
由圖5-15所示可知,φ在-90°~90°范圍變化時,從-90°到小于0°的某一角度范圍,內外齒輪齒面無接觸線,此后,接觸線在內外齒輪齒面中截面的右外側從外齒輪齒頂P1和內齒輪齒根P2進入,逐漸向齒寬中截面位置移動,在小于90°的某一角度結束,接觸線彎曲方向及傾斜方向如圖5-14所示。開始進入接觸和最后脫離接觸的φ值由齒輪參數決定,φ在90°~270°范圍變化時,接觸線在內外齒輪齒面中截面的左外側P2′、P1′嚙入,轉角位置與右外側嚙合對稱。內外齒輪齒面左右兩則的接觸線分別呈以x1、x2坐標軸為對稱的形狀。

5.4.2 多齒嚙合分析
5.4.2.1 多齒嚙合數學模型
根據以上分析,可建立鼓形齒聯軸器多齒嚙合問題數學模型如下:

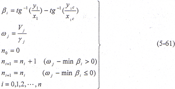
式中,βi為第i對齒間對應于齒面Ⅰ上點Q1(x1,y1,z1)處的間隙角(如圖5-15所示);minβi為第i對齒間的最小間隙角;x1,y1,z1為與外齒輪Ⅰ固連的動座標系S1下的座標;x1c,y1c,z1c為與齒面Ⅰ上一點Q1相對應的齒面Ⅱ上的點Q2的座標在座標系S1下的變換座標;ωj為受載最大齒對的簡化集中載荷作用點處的切向彈性變形量,含內外齒兩部分;γj為j點所在處的向徑大小;ni為同時接觸齒對數。

5.4.2.2 實際嚙合齒對計算
本節第一部分在不考慮彈性變形的前提下,基于齒輪傳動幾何關系剛性嚙合原理之上的理論嚙合對數,在幾何參數為表5-3所示情況下,當鼓形齒聯軸器在轉過360°/Z角度的過程中,經進一步分析,其一嚙合區的理論接觸齒對在4對與5對之間變化,即整個聯軸器在傳動過程中,理論接觸齒對則在8對與10對間變動。將某齒對定義為1號齒對,且以該齒對理論上剛開始嚙合作為初始狀態開始轉動,在鼓形齒聯軸器轉過7°時,第5號齒對脫離嚙合,當繼續轉動至360°/Z角度時,0號齒對開始進入嚙合,這樣便完成一個周期。
表5-3 鼓形齒聯軸器幾何參數
| 參數 |
內齒數 |
鼓形外齒輪 |
| 模數m |
3(mm) |
3(mm) |
| 齒數Z |
40 |
40 |
| 分度圓壓力角α |
20° |
20° |
| 分度圓直徑d |
120(mm) |
120(mm) |
| 齒頂圓直徑da |
115.2(mm) |
124.8(mm) |
| 齒根圓直徑df |
124.8(mm) |
113.7(mm) |
| 齒寬b |
30mm |
20mm |
| 工作傾角θ |
3° |
在實際受載輪齒變形后,其接觸齒對將發生變化。應用三維彈性邊界元法求出鼓形齒聯軸器在實際工作受載后,其受載最大輪齒工作齒面上各嚙合點的彈性變形量以及相應的變形角,從中并求得簡化載荷作用處的變形角ωj,其值分別為內、外輪齒載荷作用處的變形角之代數和,即
ωj=ωjⅠ+ωjⅡ (5-62)
其中,外齒輪彈性變形的三維邊界元解答如表5-4所示(內齒輪從略)。
表5-4 外齒輪彈性變形的三維邊界元解答(部分)
| 節點 |
彈性變形量(mm) |
變形角(°) |
| NO |
U |
V |
W |
ωj |
| 1 |
0.000000000 |
0.000000000 |
0.000000000 |
0.000000000 |
| 2 |
-0.000175380 |
-0.000431121 |
0.000049957 |
0.000426817 |
| 3 |
-0.000374515 |
0.001251580 |
-0.000081436 |
0.001216990 |
| 4 |
-0.000614887 |
-0.003520113 |
-0.000147521 |
0.003363150 |
| 5 |
-0.000281512 |
-0.003161834 |
-0.000107730 |
0.002981080 |
| 6 |
-0.000094073 |
-0.002939400 |
0.000062302 |
0.002735390 |
| 7 |
0.000119509 |
-0.002584201 |
0.000089001 |
0.002374020 |
| 8 |
0.000000000 |
0.000000000 |
0.000000000 |
0.000000000 |
| 9 |
-0.000358453 |
-0.001366520 |
-0.000090823 |
0.001328820 |
| 10 |
-0.000295010 |
-0.003325547 |
-0.000120167 |
0.003135420 |
| 11 |
0.000116598 |
-0.002417326 |
0.000087937 |
0.002206900 |
| 12 |
0.000000000 |
0.000000000 |
0.000000000 |
0.000000000 |
| 13 |
-0.000200144 |
-0.000447580 |
0.000038178 |
0.000443054 |
| 14 |
-0.000394231 |
-0.001515470 |
-0.000079434 |
0.001473620 |
| 15 |
-0.000714289 |
-0.003701127 |
-0.00114053 |
0.003536080 |
| 16 |
-0.000312970 |
-0.003470020 |
-0.000114053 |
0.003271660 |
| 17 |
0.000110460 |
-0.003095265 |
-0.000010400 |
0.002880380 |
表5-4中節點編號詳見5.3節中邊界元計算模型。
由此,根據多齒接觸問題的數學模型(5-61)即可求得鼓形齒聯軸器在轉360°/Z角度的過程中,各瞬時的實際接觸齒對情況,其實際接觸齒對狀態列表5-5所示
表5-5 實際接觸齒對狀態表
| 轉角φ |
齒對號 |
| 7 |
6 |
5 |
4 |
3 |
2 |
1 |
0 |
-1 |
| 實際接觸狀態 |
| 48.53 |
|
+ |
0 |
0 |
0 |
0 |
0 |
+ |
|
| 49.53 |
|
+ |
0 |
0 |
0 |
0 |
0 |
+ |
|
| 50.53 |
|
+ |
0 |
0 |
0 |
0 |
0 |
+ |
|
| 51.53 |
|
+ |
0 |
0 |
0 |
0 |
0 |
+ |
|
| 52.53 |
|
|
0 |
0 |
0 |
0 |
0 |
+ |
|
| 53.53 |
|
|
0 |
0 |
0 |
0 |
0 |
+ |
+ |
| 54.53 |
|
|
0 |
0 |
0 |
0 |
0 |
+ |
+ |
| 55.53 |
|
|
+ |
0 |
0 |
0 |
0 |
+ |
+ |
| 56.53 |
|
|
+ |
0 |
0 |
0 |
0 |
+ |
+ |
| 57.53 |
|
|
+ |
0 |
0 |
0 |
0 |
0 |
+ |
注:“0”——表示理論接觸齒對;“+”——表示由變形出現的接觸齒對。
5.5 小結
本章根據共軛曲面理論和嚙合原理,創立了共軛鼓形齒聯軸器傳動理論和研究策略,主要取得了以下成果:
(1)推出了鼓形齒聯軸器輪齒接觸線及鼓形齒面方程;為后面的嚙合特性分析奠定了基礎;
(2)對鼓形齒聯軸器傳動的靜力學、動力學、接觸強度和彎曲強度等力學特性進行了全面研究。在靜力學分析中,提出了在彈性狀態下,齒面載荷均勻分布和齒間載荷按各嚙合齒對瞬時綜合剛度正比分配的載荷分配模型,解決了在鼓形齒聯軸器設計、可靠性研究和多齒嚙合分析中的計算載荷問題。在動力學分析中,提出了將鼓形齒聯軸器傳動這一彈性動力學系統離散化的思想,并求解證實了共軛鼓形聯軸器傳動的振動誘因主要來源于軸系的觀點,為共軛鼓形齒聯軸器傳動的減振與防御提供了理論依據。在強度分析中,對其接觸與彎曲強度分別采用不同的數值方法進行了對比研究,得到了一些有意義的結論,特別是數值計算模型和計算結果為多齒嚙合分析提供了理論支撐;
(3)提出了理論間隙角的概念,建立了最小間隙角的優化數學模型,并由此求得了共軛鼓形齒聯軸器在轉過一個齒距角的過程中不同時刻的最小間隙角的分布規律和理論接觸齒對數;
(4)提出了變形角的概念,構建了共軛鼓形齒聯軸器多齒嚙合數學模型,并應用三維彈性邊界元方法,對一鼓形齒聯軸器進行了計算分析,求得了實際嚙合齒對數,并首次得到了該傳動裝置的一些有價值的結論。這些結論將對該傳動裝置今后的設計思想和設計標準產生較大的影響。
上一頁
下一頁