4 數字齒面共軛求解與嚙合界限曲線計算的數字化方法
4.1 引言
齒輪嚙合是生產實踐中常見的共軛運動,同時也是共軛曲面求解研究中的一個重要內容。本章基于上述共軛曲面的數字化方法和求解方法,利用嚙合傳動的規律,界定齒輪相對運動的嚙合區,在嚙合區內運用數字化求解原理和方法求解共軛曲面。這樣做,一方面簡化了計算,另一方面剔除了非嚙合區零散的、不規則的“嚙合點”的干擾,使計算結果更符合實際情況。本章對直齒面和鼓形齒面的數字化共軛曲面求解分別進行了研究,并對共軛求解中的關鍵問題嚙合界限曲線的數字化求解進行了專門討論。
4.2 直齒面的數字化共軛求解
以常用的直齒圓柱齒輪為例,直齒齒輪副在垂直于它們軸線的任一載面中的嚙合情況是完全一樣的,所以只需研究其中一個載面的情況,即平面上的嚙合情況即可,因此,直齒齒輪嚙合又稱為平面嚙合。
如果已知一個齒輪齒面的離散坐標數據、兩齒輪的傳動關系、兩齒輪的相對位置,那么與已知齒面嚙合的待求齒面也就可以求出。值得注意的是這里與回轉曲面的共軛運動不同,齒輪嚙合接觸線的運動規律是復雜的,如果通過接觸線來求解共軛曲面是不合適的,同時,如果考察一個已知齒面的嚙合情況,會發現在齒輪回轉一周過程中,這個齒面只是一次的進入嚙合狀態。這種情形可以用圖4-1所示的相對運動形象地表示,圖中兩齒輪傳動比為1:1,曲線段表示已知的齒輪齒面,它在所求齒輪坐標系內作公轉加自轉的相對運動。

在已知齒輪齒面一個周期的相對運動所留下的運動軌跡中,我們可以看出,在區域C中出現了一個清晰的包絡面,它就是所求的未知齒面,即兩齒面在C區嚙合,稱C區為嚙合區,而在C區之外,也會出現包絡,但那只是幾何意義上的共軛點,不產生真正意義上的嚙合傳動;已知齒面在嚙合區域與非嚙合區域有較清晰的界限;在嚙合區域,已知曲面與所求齒面的共軛關系是簡單的,無論是否會出現二次接觸,這一區域的共軛曲面都可以用數字化共軛曲面求解方法求出。
在齒輪嚙合的求解中,我們只求解嚙合區內的共軛,這樣做可以避開非嚙合區內出現的共軛點對齒輪嚙合求解的干擾,同時避免了不必要的計算。這樣,確定嚙合區域C即確定已知曲面進入嚙合和結束嚙合這一過程的運動參數tc就成為齒輪嚙合求解的關鍵。
應用共軛曲面求解軟件Conjugater1.0求得的齒輪齒面嚙合過程和結果可以用圖4-2、圖4-3和圖4-4表示。


點擊Conjugater1.0界面中的“動畫演示”按鈕,可以直觀地看到兩齒面轉動和嚙合的過程。
4.3 鼓形齒面的數字化共軛求解
由于齒輪在軸上的裝配精度不能保證、軸承間隙不適當、齒輪軸彎曲變形等因素影響,導致兩齒輪在端部非共軛接觸,在端部齒根會產生過大的局部應力,嚴重時會造成齒輪的卡滯和輪齒的折斷。采用輪齒的鼓形修形,可以避免在齒輪端部產生非共軛接觸,避免齒輪折斷,保證齒輪正常傳動。鼓形修形也常用在齒輪聯軸器的設計中,在傳動軸有一定擺角的情況下,能夠避免輪齒的干涉,實現正常的嚙合傳動。
所謂輪齒的鼓形修形,即在齒寬方向上齒厚從中央至兩端連續減薄,經過這種修形后的輪齒稱為鼓形齒。
鼓形齒是由直齒輪的嚙合傳動加兩齒輪的相對擺動的雙參數運動得到的,由包絡定理可知,直齒輪的這種雙參數運動可以轉換為它的二次包絡,第一次包絡是直齒面繞齒面基準點的擺動形成包絡面,第二次包絡是此擺動包絡面在嚙合傳動過程中各個位置形成的包絡面。
一般書中是用經驗公式得出鼓形齒的齒形,我們可以用數字曲面共軛求解的方法分別計算兩次包絡,從而求出鼓形齒的曲面。
4.3.1 直齒面的相對擺動包絡面
設兩齒輪的軸線分別為z1,z2,與之固連的坐標系分別為S1,S2,轉動角速度分別為ω1,ω2,兩軸線交角為θ。現暫不考慮兩齒輪的嚙合運動,只考察兩齒輪的相對擺動,為使z2固定不動,可假設給系統添加一個繞z2軸且與ω2大小相同、方向相反的運動,如圖4-5所示。則與齒輪固連的坐標系S1相對于S2的運動可以描述為繞z1軸的自轉與繞z2軸的公轉。

把以上的相對擺動具體化,考慮兩坐標系的變換,在靜坐標系S2中觀察,整個S1坐標系只有2個自由度,即S1分別繞z1軸的自轉和繞z2軸的公轉。在交角不變的情況下兩坐標系的關系可用圖4-6表示。
這是固定擺動角度為θ時的情形,由此求出的齒面包絡面滿足擺動角度0≤θt≤θ的傳動要求。
因圖4-6所示的兩坐標系的關系相對較復雜,為便于進行空間坐標變換的計算,可將變換S1→S2分解為S1→S3→S4→S2。如果規定從旋轉軸的正向看下去逆時針旋轉方向為正,順時針方向為負,則S1→S3表示S1繞z1軸旋轉-ω1t角度,S3→S4表示S3繞y3軸旋轉-θ角度,S4→S2表示S4繞z4軸旋轉ω2t角度。坐標系的分解變換如圖4-7所示。

這種相對擺動的結果形成一個直齒面的包絡面,在直齒面擺動的任何位置,兩者都共軛線接觸。利用兩坐標系的幾何關系和空間坐標變換,直齒面在靜坐標系中形成的曲面族可用下式表示為

而在實際應用中,鼓形齒多用于聯軸器傳動,此時傳動比為1,即ω1=ω2=ω,所以在鼓形齒聯軸器傳動中,上式可簡化為

在已知曲面族的基礎上,用前面介紹的數字化共軛曲面求解方法可以求出此曲面族的包絡面,也就是已知直齒面Σ1在相對擺動時的包絡面。
4.3.2 鼓形齒面
以上述計算出的擺動包絡面為已知齒面,按照兩齒輪的運動關系,用前述介紹的方法,求出擺動包絡面的嚙合面,這個嚙合面既滿足已知直齒面在一定角度范圍內擺動,又滿足兩齒面嚙合傳動,它是一個鼓形齒面。在兩齒面傳動和已知直齒輪擺動的任何一個位置,鼓形齒面和已知直齒面都共軛接觸。
用Conjugater1.0求解鼓形齒面的過程和結果如下圖4-8、圖4-9、圖4-10所示。這樣,用數字化共軛曲面求解方法,通過計算直齒面的二次包絡,就得到了嚴格滿足共軛條件的鼓形齒面。


4.4 嚙合界限曲線計算的數字化方法
4.4.1 接觸線與兩類界限曲線
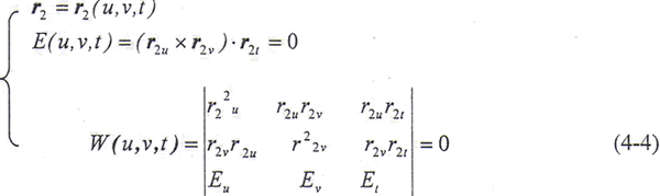
已知曲面Σ1與共軛曲面Σ2在t時的接觸線為Ct,那么Ct既是已知曲面Σ1上的曲線,又是共軛曲面Σ2上的曲線,我們把在與Σ1固連的坐標系S1中的Ct記為C1t,在與Σ2固連的坐標系S2中的Ct記為C2t。當t變動時,接觸線Ct分別在Σ1、Σ2上形成一個單參數的空間曲線族{C1t}、{C2t}。
無論是已知曲面上的C1t還是共軛曲面上的C2t,當t取不同的值時,就得到不同位置的曲線,也就是說,{C1t}、{C2t}是以t為參數的曲線族,那么在曲面Σ1或Σ2上就可能存在曲線族{C1t}、{C2t}的包絡線。在已知曲面Σ1上,如果曲面族{C1t}存在包絡,那么以包絡線為界可以把Σ1分成兩部分(如圖4-11a所示),一部分布滿了接觸線C1t,一部分則沒有,這條包絡線Γ2稱為二界包絡曲線,其上的各點稱為二類界限點,也稱為嚙合界限點;對于共軛曲面Σ2,因為Σ2全部是由{C2t}組成的,所以如果曲線族{C2t}的包絡存在,則此包絡也就是曲面Σ2的脊線(如圖4-11b所示),這條包絡線Γ1稱為一界包絡曲線,其上的各點稱為一類界限點,也稱為根切界限點或曲率干涉界限點。嚙合界限點可用于判斷已知曲面上有效的嚙合區域,根切界限點可用于避免共軛曲面的根切,這兩類界限點對于共軛曲面的求解有著重要的意義,同時也是評價共軛運動質量的重要指標之一。

下面推導兩類共軛包絡曲線Γ1和Γ2的方程。
4.4.1.1 一界曲線方程
在共軛曲面Σ2上的接觸線C2t的曲線族{C2t}可表示為 {C2t}:
,對包絡條件來說,
,
兩偏導數不能同時為零。因為如果同時為零,說明包絡條件中沒有變數u、v,這時t只能等于常數,代入第一式,只能得到曲面族中的某一曲面,而不存在包絡線。
設Ev≠0,則可由E(u,v,t)=0中解出v=v(u,t),代入{C2t}的第一式得
{C2t}:r2*=r2(u,v(u,t),t)=r*(u,t)
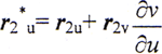
如果{C2t}有包絡Γ1,則Γ1可表示為
r2①=r2(u(t),v(u(t),t),t)=r2①(t)
{C2t}中任一條曲線C2t(t=常數)的切向量

Γ1的切向量則可表示為

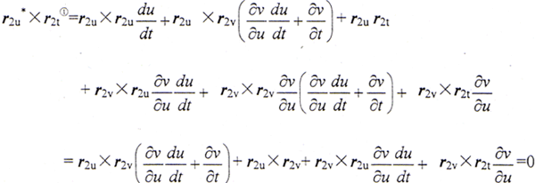
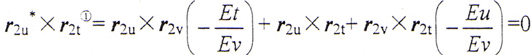
根據包絡的定義可知,r*2u∥r2t①,所以

當以v=v(v,t)代入E(u,v,t)=0時,得恒等式E(u,v(u,t),t)=0,考慮Ev≠0,由上式即可導出
。于是,得到

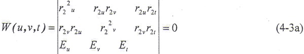
即 (r2u×r2v)Et+(r2v×r2t)Eu+r2t×r2uEv=0 (4-3)
為了使上述向量方程變為標量方程,使等式兩端點積以r2u×r2v(≠0),并按拉格朗日恒等式展開,整理后得

所以接觸線的包絡線Γ1的方程為

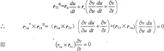
4.4.1.2 二界曲線方程
在已知母面Σ1上接觸線族{C1t}可以表示為{C1t}:
,仿前,設Ev≠0,由E(u,v,t)=0解出v=v(u,t),代入上式的第一式,得
{C1t}:r*1=r1(u,v(u,t))=r1*(u,t)
曲線族{C1t}的包絡Γ2可以寫為
r1②=r1(u(t),v(u(t),t)=r1②(t)
{C1t}中任一曲線C1t的切向量r1*u為

Γ2的切向量則為

當Σ1為簡單曲面時,有r1u×r1v≠0,
。將v=v(u,t)代入E(u,v,t)=0得
E(u,v(u,t),t)=0

4.4.2 嚙合界限曲線的數字化求解
當已知曲面Σ1上存在二界曲線(嚙合界限曲線)Γ2時,該曲線把已知曲面分成了兩個區域,在曲線Γ2的一側,布滿了接觸線C1,t1,C1,t2…,這部分區域稱為工作區,在曲線Γ2的另一側,沒有接觸線,這部分區域稱為非工作區。共軛曲面上的接觸線分別為C2,t1,C2,t2…。今在Σ1的工作區內取一點P1(1),它既是C1,t1上的點又是C1,t2上的點。可以看出,在t=t1時,由于接觸線C1,t1與C2,t1重合,即C1,t1=C2,t1,所以P1(1)與C2,t1上的點P1(2)共軛接觸,但在t=t2時,P1(1)點又作為C1,t2上的點而與C2,t2上的P1(2)′點共軛接觸。再在已知曲面工作區內取P2(1)點,也有類似的情況,即在不同的時刻t=t1,t=t2,點P2(1)分別與共軛曲面Σ2上的不同點P2(2)先后共軛接觸。對于在Γ2上的點,因為它只屬于工作區內的一條接觸線,如M1(1),它是接觸線C1,t1與界限曲線Γ2的切點,因此它只屬于C1,t1,并且只在t=t1時與共軛曲面內點M1(2)共軛接觸。這樣,在已知曲面的工作區內的任何一個點,都在共軛曲面Σ2中有先后兩個共軛接觸點,這種現象就叫做二次接觸。只有在已知曲面Σ1的界限曲線Γ2上的點,才不存在二次接觸。
由上面分析可以看出,用解析方法求嚙合界限曲線是很復雜的。為減少人工計算的負擔和充分利用數字化共軛曲面求解理論和方法,在前面介紹數字化共軛曲面求解的基礎上,本文提出一種嚙合界限曲線的數字求解方法。在數字化共軛曲面求解模型和求解步驟中,共軛曲面是通過考察已知曲面的每一節點的運動特性,通過計算并記錄每一個節點在整個運動過程中出現共軛的位置來求解的;但在運動過程中,會出現某些節點,在整個運動過程中都不會出現共軛點,即這些點在整個運動過程中,并沒有參與共軛,這些點的集合就是上面提到的嚙合界限曲線一側沒有參與兩曲面接觸和共軛的部分。
在前述的計算中,用插值方法得到一個以t為自變量的連續函數E(t),然后求出使E(t)=0時t的值tk,這種方法得到的tk值,不同于一般通過優化算法使E(ui,vj,t)在一系列有限值中取最小值時的t值,而是利用插值得到的E(ui,vj,t)=0時t的精確值;如果tk存在,則一定有E(ui,vj,t)=0,該節點參與了共軛,反之,則該節點沒有參與共軛。由此,我們可以通過判斷tk的存在與否來確定哪些節點在運動過程中沒有參與共軛,并在計算步驟中加上一個判斷語句,且記錄下不參與共軛的節點在已知曲面上的u,v值,這樣,在共軛曲面求解的同時,也計算出了已知曲面上參與和不參與共軛的節點,這兩類節點分別形成已知曲面的兩個區域,即工作區和非工作區,它們的分界線就是嚙合界限曲線。
4.5 小結
本章在理論創新的基礎上,對工程中有代表性的直齒輪和鼓形齒聯軸器傳動進行了研究,并對直齒面和鼓形齒面作了數字化共軛求解,得到了與之相應的共軛直齒面和鼓形齒面。在共軛求解中充分考慮和利用各自的共軛運動特性,特別在鼓形齒聯軸器的運動特性分析和數字化求解方面,是對以往求解方法的一次突破,具有創新意義。本章還推導了共軛求解中的兩類共軛包絡曲線方程,提出了求解嚙合界限曲線的數字化求解策略與計算方法,開創了用數字分析方法研究嚙合傳動特性的新途徑。
上一頁
下一頁