第四章齒輪聯軸器——軸承——轉子系統彎扭耦合振動理論
§4.1 引言
目前對外齒輪耦合軸系轉子動力學的研究較多,但對齒輪聯軸器耦合軸系轉子動力學的研究還很少,從目前見到的文獻看,對齒輪聯軸器聯振動的研究還只限于半齒輪聯軸器接的軸系的彎曲振動、扭矩振動以及軸向振動的討論,對全齒輪聯軸器—轉子—軸承系統彎扭耦合振動的討論還沒有。其主要原因為:(1)齒輪聯軸器嚙合狀態復雜力學模型不易簡化。(2)齒輪聯軸器內外齒發生變位時載荷分布復雜,不易建立振動方程。本章在前幾章的基礎上進一步對齒輪聯軸器連接的軸承—轉子系統進行了研究,把模化后的齒輪聯軸器的剛度與軸承—轉子系統相結合,利用集總質量法對轉子系統進行離散化處理,建立了齒輪聯軸器彎扭耦合振動方程;列出整個軸系固有頻率方程。
§4.2 轉子—軸承系統固有振動方程
§4.2.1 轉子的離散化
一個實際轉子,可以看作由一根變截面的軸和分布其上的若干圓盤所組成。用集總質量法,可將其離散成n段無質量的彈性軸和n-1個集總質量。如圖4.1所示。具體過程見文獻。
§4.2.2 質點的運動方程


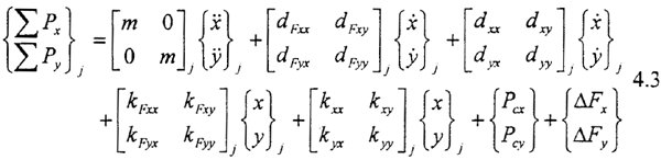
式4.3中右端第一項為慣性力:三、五兩項為滑動軸承的油膜力;二、四兩項為外加阻尼力及剛度力……,Pcx,Pcy則代表與系統本征值無關的外加激勵力、不平衡力、重力或其它控制力。ΔFx,ΔFy為齒輪動態嚙合力在x、y方向上的分量。當所簡化的質點是各向同性時,其直徑轉動慣量θx=θy=Jd,極轉動慣量θz=Jp。
由式4.1得到

由此得到完全位移、轉角及其導數(x,y,
,ψ,…)表示的各軸段力及力矩的平衡方程


§4.2.3 邊界條件
當轉子的兩端既不承受力,也不承受力矩時有

端點o、n處的坐標可分別用節點1、n-1處的坐標來表示

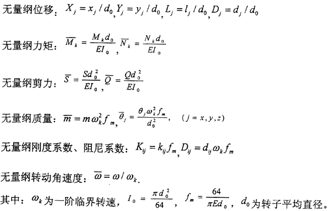
§4.2.4 無量綱化
各無量綱量按下列定義
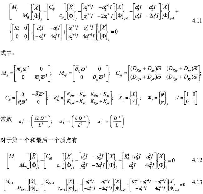
設系統方程的解具有一般形式x=xoert、r=-u+iv,相應的無量綱表達X=X0eλT、λ=-U+iV,其中U=u/w、V=v/w。將第j個軸段方程與成矩陣形式:

§4.2.5 系統彎曲振動方程
將式(4.11)~(4.17)綜合起來,寫成矩陣形式,即可得到一段固定瓦滑動軸承——轉子系統的彎曲振動方程

式中[M]、[C]、[K]分別為系統的總質量陣、總阻尼陣和總剛度陣,位移向量{X}=(X1,Φ1,…,Xj,Φj,…,Xn-1,Φn-1)T
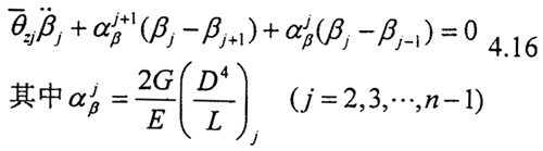
§4.2.6 轉子系統扭矩振動方程
1)軸段單元的扭矩振動方程

圖4.5所示為轉子系統扭矩轉振動的力學模型,其中θxj為第j個集總極轉動慣量,Kβj為第j個軸段的扭轉剛度,Kβj=
,G為材料的剪切彈性模量,dj和lj分別為第j個軸段的直徑和長度,βj為θzj的扭矩轉角位移。
當忽略軸承對轉子扭轉振動的阻尼影響時,則第j個質點的扭矩自由振動方程為:

按4.1.4節無量綱量定義,式(4.15)的無量綱形式為

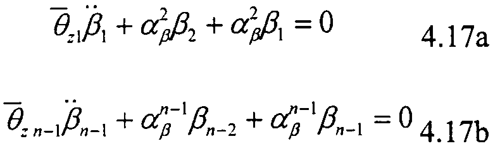
第一個質點和最后一個質點,其扭矩自由振動方程為

2)轉子系統的扭轉振動方程
綜合式(4.20)和式(4.21),得到轉子系統扭轉自由振動方程

上一頁
下一頁