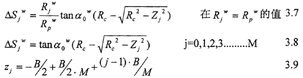
§3.4.2 齒面原始間隙
由假設可知,齒面間隙、齒的誤差以及內外齒的相對位移可以簡化到分度圓上進行處理,既齒的相對變形等效到分度圓上進行處理,這樣會對計算大大簡化,齒對間分度圓方向的間隙可以由以下幾項組成:
1.不考慮齒面誤差時的分度圓上側隙用C0來表示,沿軸向對應每個分割的原始的側隙都相等這由內外齒加工時的變位系數來決定。在傳遞扭矩時此間隙自動消除,因此對齒對之間的彈簧的壓縮量不起作用。
2.由鼓形齒鼓形齒量所引起的分度圓上平均間隙用Cgj來表示,j=1,2,3……M,Cgj在分割微元寬度很小時近似等于第j分割微元齒寬中點的間隙,由第二章2.4式得:

3.由于內外齒第i個齒的周節誤差和其它齒形誤差所引起分度圓方向的間隙Cpji,在分割微元寬度很小時Cpji近似等于第i個齒第j分割微元寬中點誤差引起分度圓方向的間隙,一般在處理時認為內外齒沒有周節誤差和其它齒形誤差。
綜合上面引起分度圓方向的間隙的因素,可以得到第j分割微元第i個齒分度圓方向的平均間隙Cji0:
Cji0=Cgj+Cpji 3.10
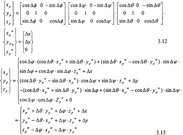
§3.4.3 內外齒輪相對位移引起間隙變化
如圖3.7所示,O-XYZ;是固定坐標系,O是內外齒輪對中時內外齒輪中心Z是齒傳輸線聯軸器的軸向,OK-XKYKZK:分別代表固定在內外齒輪上的坐標,OK是內外齒輪中心(k=N,w)表示內處齒輪),

的換矩陣為:

不失一般性設內齒輪靜止即ON-XNYNZN與靜止坐標系數O-XYZ重合,以后用O-XYZ來表示內齒輪坐標,外齒輪相對內齒輪發生位移,位移量為:(Δx,Δy,Δ
,Δψ,Δθ);Δx,Δy,Δ
,Δψ,Δθ為微小位移,則外齒輪任意一點PW(XPW,YPW,ZPW)在外齒輪相對內齒輪發生位移后,在靜止坐標系內的坐標為:PW(XP,YP,ZP)其值由式3.12~3.13定。

在外齒輪相對內齒輪發生位移前P點在O-XYZ坐標系中的坐標為:P0(XPW,YPW,ZPW),則P相對靜止坐標系(即內齒輪)沿x,y,z方向的位移為:

§3.4.4 靜平衡方程的建立
如果按照前面的處理方法將處齒輪(鼓形齒)沿齒寬的方向分割成M個微元,則第j分割微元第i個齒上分度圓上相對內齒的平均位移(Δxji, Δyji, Δzji)可以通過式3.14 得到:

由第二章討論可知,內齒輪一般不進行鼓形修形,其分度圓柱面上截得在軸向的齒形為直線,鼓形齒截得的形狀為弧線,如圖3.8所示:從圖中我們可以看出外齒相對內齒的軸向位移,并不影響內外齒面的間隙,既不對齒的壓縮變形起作用。因此我們取出圖3.7中垂直齒輪軸線的A-A截面來討論如圖3.9,即對齒輪第j分割微元寬度中部截面。其中Ojw-XjwYjw:表示固結在外齒第j個分割微元上的坐標,Ojw是軸向第j個分割微元的中心,Ojiw-XjiwYjiw:是固定在外齒第j分割微元第i個齒上的旋轉坐標,Xjiw坐標是分度圓齒廓切線方向,Yjiw是齒廓法向方向,Ojiw是軸向第j個分割微元的中心,OjN-XjNYjN:表示與外齒第j分割微元對應的固結在內齒相應分割微元上的坐標,OjN是分割微元的中心,因為假設內齒輪固定所以OjN-XjNYjN與Oj-XjYj重合;OjiN-XjiNYjiN:是固結在分割微元第i個齒上的旋轉坐標j=1,2……M,i=1,2……Nz。
第i個齒上的旋轉坐標坐標軸Xjiw是分度圓齒廓切線方向,Yjiw是齒廓法向方向,Ojiw是軸向第j個分割微元的中心,OjN-XjNYjN表示與外齒第j分割微元對應的固結在內齒相應分割微元上的坐標,OjN是分割微元的中心,因為假設內齒輪固定,所以OjN-XjNYjN與Oj-XjYj重合,OjiN-XjiNYjiN:是固結在分割微元第i個的旋轉坐標j=1,2……M,i=1,2……Nz。將Δxji, Δyji投影響到Ojiw-XjiwYjiw坐標中:

其中ΔYjiw為外齒輪第j分割微元第i個齒分度圓齒廓法線相對內齒的位移,ΔX
jiw為切向位移,由于前面的假設中把內外齒看成是沿分度圓齒廓法線方向串防的彈簧,因此只有y方向的位移對彈簧起到壓縮作用,而x方向的相對位移對彈簧起到壓縮是高階小量,可以忽略。
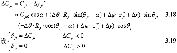
又因為在無載荷時內齒輪在分度圓周向的原始間隙為Cji0-,周向與法向間隙的關系為:
Cji=Cji0·cosα 3.17
所以內外齒輪相對應的第j分割微元第i個齒分度圓齒廓法向間隙的變動量為:

上式ΔCji--<0說明內外齒發生相對位移后,齒面相對間隙為負,即內外對應齒對在j微元第i齒對處相互接觸,δji可近似的看作內外齒在j微元第i齒對處的相對變形。ΔCji-->0說明內睜生相對位稱后,齒面相對間隙為正,內外對應齒對在j,I處存在間隙,則可以認為內外齒在ji處的相對變形δji=0。
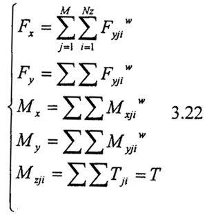
則外齒輪第j分割微無的第i齒所受到的力和對于齒輪中心的力矩為:

此式既為第j分割微元第i個齒對整個聯軸器受力方程;那么所有的分割微元和所有的齒受力的疊加后,即可得到齒輪聯軸器靜平衡方程。

§3.4.5 無量綱化
為了計算方便,我們對上式進行無量綱化

上一頁
下一頁