第二章 鼓形齒輪聯軸器嚙合分析
在理想的狀態下齒輪聯軸器聯接的兩段軸完全對中,內外齒輪沒有相對偏斜,各對應齒對的嚙合狀態完全相同,所承受的負荷也完全相同。但在實際機組中,齒輪聯軸器聯接的兩段軸并不完全對中,使其內齒圈和外齒套存在各種相對偏斜,這時各對齒嚙合位置及負荷都將發生變化,從面引起聯軸器附加力和力矩變化。導致整個轉子系統動態性能的改變。本章作為研究鼓形齒輪聯軸器的基礎,對齒輪聯軸器在零負荷或輕負荷條件下,對內外圈發生相對偏斜進行齒面嚙合狀成分析,得到在不同狀態下各個的齒對齒面相對了最小間隙、所在位置以及等間隙曲線,計算結果與Heinz計算結果進行了比較,綜合兩方面的結論為下一章齒輪聯軸器力學模型簡化提供依據。
§2.1 齒輪聯軸器齒形方程
§2.1.1 內齒輪齒形方程
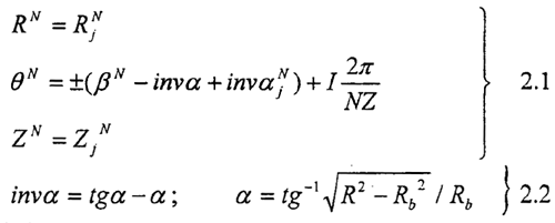
在鼓形齒聯軸器中由于內齒加工困難,一般不進行鼓形修整及其它修形,因此內齒圈的齒在分度圓的切面內為直線,在垂直于軸線截面內其齒形都是標準漸開線。如圖2.1為內齒輪沿軸向任意
處垂直軸線截面的齒廓的形狀,為了計算方便采用柱坐標,以齒輪的中心為原點,齒厚的對稱線為極軸,齒廓上任意一點的坐標為:

式中:θN:是內齒坐標極角,正負號分別表示上下側齒廓;
α:為壓力角(20°或25°);
:為
、
處的壓力角;
Rb:基圓半徑;I=1,2,3……Nz,Nz:齒個數;
βN :分度圓齒厚夾角之半;上標N:代表內齒輪。
§2.1.2 外齒輪齒形方程
為了避免因為齒輪聯軸器結構誤差或內外齒輪不對中誤差而引起齒端面和齒頂發生強烈火的接觸,一般對齒輪聯軸器的外齒進行鼓形修型,此外齒輪稱為鼓形齒輪,一般鼓形齒是通過滾齒機經過圓弧送切形成的。如圖2.2所示在分度圓切面內A-A向齒開為弧線,在垂直于軸線截面內其齒形近似為漸開線,齒寬中央是正常齒厚,而離形齒寬中央使外齒輪負方向變位逐漸增加,齒厚減速薄齒寬方向形成鼓形,
為鼓形修形量。

Rc=Rc/ctgα;Rc圓弧送刀半徑;
如果以齒寬心處圓心為原點,聯軸向為Zw,以齒厚的中線為極軸,垂直于軸線方向的任意截面上的齒形如圖2.3,半徑為
,軸向坐標為
,柱坐標方程為:


式中:θw:是內齒坐標極角,正負號分別表示上下側齒廓;
α:為壓力角(20°或25°);
:為
、
處的壓力角;
Rb:基圓半徑;I=1,2,3……Nz,Nz:齒個數;
βow: 分度圓齒厚夾角之半;Rp:分度圓半徑;
:鼓形修形量(
、
處的單連減薄量),上標w:表示外齒輪。
§2.2 齒輪聯軸器三維嚙合分析
§2.2.1 相對徑向位移嚙合分析
當齒輪聯軸器內外齒軸線發生徑向位移Δx,Δy時,內外齒之間相對位置及嚙合狀態與零齒差內外齒輪傳動相似,即嚙合線沿相對位移e的方向,嚙合角為90°。如圖2.4所示:設內齒輪為主動輪由于只有徑向位移且外齒為鼓形齒,所以內外齒在齒寬中央截面處齒廓上嚙合,設ON-XNYN固結在內齒輪上,其上一點M(xN,yN),Ow-XwYw固結外齒輪坐標其上一點為N(xw,yw)


§2.2.2 相結轉角位移三維嚙合狀成
當齒輪聯軸器內外齒輪只發生軸線間的相對轉角傾斜時,它們相對位置關系如圖2.5以兩軸線的交點O(OWON)為原點,取空間坐標系ON-XNYNZN固定在內齒上,OW-XWYWZW固定在外齒上,外齒相對內齒轉角位移Δ
Δψ;Δ
Δψ是繞YW,XW軸相對傾斜角。內外齒輪分別經ZN,ZW為軸線進行旋轉,其轉角分別為θ,θ′,由2.1,2.4式可以確定內外齒各齒面的極坐標,則內外齒齒廓在直角坐標系中ON-XNYNZN,OW-XWYWZW的坐標分別為:

圖2.6是圖2.5的三維表示方法,對于內外齒一對對應齒來說(設內齒輪為主動輪)當內齒輪齒轉過θ,ON-XNYNZN,齒廓上的一點A(xAN,yAN,zAN)也轉過θ到達A′(xAN,yAN,zAN),相應外齒的對應點B(xBw,yBw,zBw)要轉過θ到達B′(xBw,yBw,zBw)才參與A′點重合。如果把內齒第I個齒面沿徑向劃分為N條網格,軸向劃分為M條網格,共劃分成N×M個網格點,在內齒輪上Aij-轉過θ角后到達A′ij,外齒輪上與之對應的點Bij需要轉過θ′ij才能與點A′ij重合,第I個齒對的整個N×M個點中外齒輪轉過
所對應的點為該齒對有載荷時優先嚙合的點,即無載荷時的最小間隙點。對于所有NZ個齒來說:在內齒輪轉過θ后,每個齒對都有一個優選嚙合的點,使外齒輪轉過的角度最大
,其中最大值
所對應齒對上的點則為內齒輪轉過θ后,NZ個齒中最先嚙合的齒對上的嚙合點,則在內齒輪轉過θ時,對應齒對圓周方向間隙為:

如果內齒輪旋轉角θ從0~2π變化時,則通過上面的方法可以求得內外齒輪旋轉一周時,內外齒輪各個齒對全齒廓的嚙合狀態,從面得到每個齒對的最小嚙合間隙的大小、嚙合位置以及每個齒對的等間隙曲線。
以上的方法同樣也實用外齒輪為主動輪場合。
§2.2.3 轉角和徑向位移三維嚙合狀態
與純的轉角相似坐OW-XWYWZW——ON-XNYNZN標變換為:


同樣可以得到內外齒輪各個齒對齒廓的嚙合狀態,每個齒對的最小嚙合間隙的大小,和嚙合位置以及每個齒對的等間隙曲線。
§2.3 計算結果及分析
§2.3.1 齒輪聯軸器參數
表2.1齒輪聯軸器參數
| 模數 |
30mm |
齒數 |
56 |
| 壓力角 |
20° |
# |
# |
| 內齒輪 |
外齒輪 |
| 齒寬 |
40mm |
齒寬 |
40mm |
| 鼓形量 |
# |
鼓形量 |
156mm |
| 變位系數 |
0.3 |
變位系數 |
0 |
上一頁
下一頁