三環減速器的動力模型及動力特性研究
5.1 引言
三環減速器是一種利用三相并列雙曲柄機構來克服死點的連桿內齒行星齒輪減速器,其基本結構如圖5-0所示。它由低速輸出軸1 ,兩根高速輸入軸2 ,三片傳動齒板3組成,各軸均平行配置,相同的兩根高速軸帶動三片傳動齒板呈120°相位差作平面轉動,傳動環板上的內齒圈與低速軸上的外齒輪相嚙合,形成大速比,其傳動比
三環傳動結構
圖5-1
(5-0)
式中

Z
1是低速軸上外齒輪齒數;
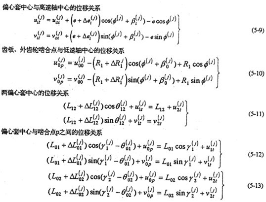
Z
2是齒板內齒輪齒數。
三環減速器的主要優點是:
1.傳動比大、適應性廣,由于采用漸開線少齒差內嚙合傳動,可以獲得較大的傳動比,單級傳動比達11~99,雙級傳動比高達9801;又因為減速器的中心距與齒輪參數無關,可根據需要設計,故其適應性廣。
2.承載能力強,且重量輕。內嚙合齒輪由于接觸點處齒廓曲率方向相同,所以齒面接觸強度較高,同時由于少齒差傳動的多齒接觸承載特點,隨著載荷增加,接觸承載齒數也隨之增加,故三環減速器有很強的承載能力和過載能力,可承受過載27倍。又由于三環減速器的結構簡單,傳動比大、所以其重量輕,比普通圓柱齒輪減速器重量相應減小2/3。
3.傳動效率高。三環減速器的效率主要由兩部分組成,即嚙合效率及軸承效率。它比一般少齒差傳動(K-H-V)少一個輸出機構,故效率可高達96%。
4.軸承受力小,壽命長。三環減速器的行星軸承受力與K-H-V型行星軸承受力相比,K-H-V型行星軸承受力約為三環減速器的1.86倍,而行星軸承的壽命,三環的約為K-H-V型的6倍以上。
由于以上優點,三環減速器正在日益推廣,目前己在礦山、冶金、石油、化工、起重運輸、
經工等眾多領域實際應用,取得了一定的社會效益和經濟效益,通過進一步的理論分析、試驗研究和技術推廣,有可能成為新一代通用減速器。
但是,由于三環減速器問世僅幾年時間,缺乏較全面的理論分析和實驗研究,在設計只得采用類比的方法或借助于非常粗略的簡化模型進行計算,設計工作缺乏依據,使得產品性能環穩定、在應用中出現發熱、振動、軸承早期損壞甚至齒板斷裂等現象,影響了這種傳動形式的進一步發展。
本章應用本文提出的位移協調原理,從系統變形的角度,建立了三環減速器的動力分析精確模型,并針對SHQ40型三環減速器進行求解,研究了各種因素對其動力特性的影響。
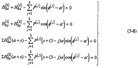
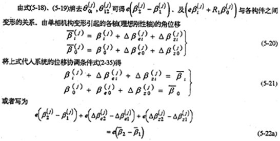
5.2 三環減速器動力分析基本方程
三環減速器是三相并列雙曲柄輸入式的少齒差內齒行星傳動裝置。因此可按第三章對內齒行星傳動建模方法,建立其動力分析模型。
對齒板及高速轉臂軸,輸出軸進行動態靜力分析(見圖5-2),可得三環減速器的動力分析基本方程(忽略各構件重力作用)。

根據對三環減速器的靜不定次數計算,當單軸輸入(n=1)時,S=4,雙軸輸入(n=2)時,S=5。故應根據輸入形式,由位移協調節器條件增加4個或5個動力分析補充方程。
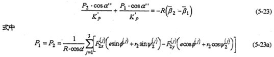
5.3三環減速器的動力分析補充方程
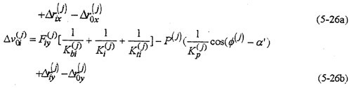
三環減速是多相并列連桿行星齒輪傳動過約束機構。應該從整體系統上去考慮其變形關系。圖5-3是一相子機構的位移關系圖。圖5-3(a)是基本位置圖、圖5-3(b)是高速軸之間的位移關系、圖5-3(c)是高速軸與輸出軸之間的位移關系(i=1、2)。由圖寫出各運動副中心的位移關系如下:
以上各式中

,

是偏心套中心的位移;

是偏心套偏心距 變形量;

是齒對接觸點與外齒輪中心的距離變化量;

是機構變形使高速軸產生的角位移;

是機構變形使低速軸產生的角位移;

是高速軸軸心因箱體軸承變形及軸彎曲變形產生的位移;

是機構變形使嚙合點產生的位移;

是低速軸中心因箱體軸承變形及軸彎曲變形產生的位移;

是機構變形引起各運動副中心之間的距離產生的相對位移量;

是各運動副中心連結因機構變形產生的角位移。
式中
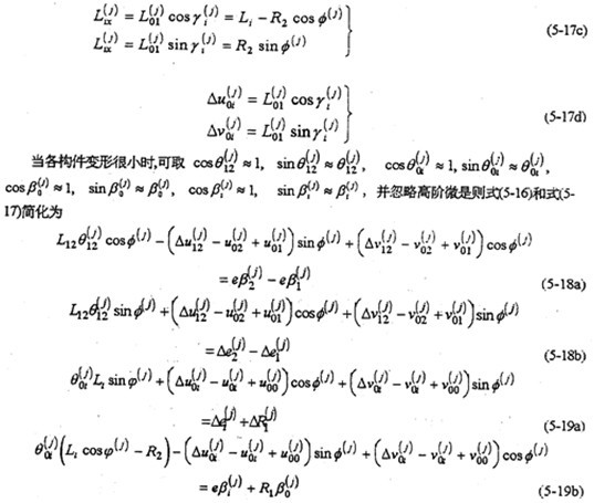
當只考慮行星軸承變形和內齒圈變形時,式(5-18)及(5-19)就變成(3-11)、(3-14)。
上式的第一式即為高速軸之間的約束條件,第二式為高速軸與低速軸(輸出軸)之間的約束條件,消去試中的

可得4個補充方程,滿足單軸輸入(n=1)所需的動力分析補充方程的數量(S=4)。對于雙軸輸入(n=2),若分流機構為齒輪傳動,則由式(3-12b)增加一個補充方程得
由式(5-18)、(5-19)、(5-22)、(5-23)就構成三環減速器的動力分析補充方程。將它們與三環減速器的動力分析基本方程聯解,可以確定出的運動副的動反力及齒板、軸等的變形角位移,隨轉角(或時間)的函數關系。各齒板、軸的角位移與轉角φ的關系可表示成:
上式是三環減速器轉動時,各齒板、軸在機構變形時的角位移關系式,將其求導(對時間)可得角速度、角加速度關系。
式(5-18)中的

為機構變形后兩偏心套中心之間的長度L
12產生的增量分量,它包括齒板兩高速軸孔之間的相對變形量,兩行量軸承的變形量,兩偏心套的變形量以及兩運動副的間隙等。可表為
式中

是齒板高速軸孔周邊變形剛度,見表4-3;

是行星軸承變形剛度,由文獻,

=4.48×10
5N/mm;

是偏心套外圓周邊變形剛度,見表4-1;

是運動副間隙在x、y方向的分量。
表4-3
|
|
|
|
|
|
0 |
3.2115 |
180 |
12.4935 |
|
10 |
3.2757 |
190 |
14.6264 |
|
20 |
3.45 |
200 |
12.8562 |
|
30 |
3.678 |
210 |
13.1985 |
|
40 |
4.243 |
220 |
14.4738 |
|
50 |
4.969 |
230 |
15.4107 |
|
60 |
6.1059 |
240 |
18.7727 |
|
70 |
7.9875 |
250 |
24.052 |
|
80 |
11.2872 |
260 |
24.7488 |
|
90 |
17.4852 |
270 |
16.5972 |
|
100 |
24.997 |
280 |
10.959 |
|
110 |
22.555 |
290 |
7.8687 |
|
120 |
17.496 |
300 |
6.0639 |
|
130 |
14.5707 |
310 |
4.956 |
|
140 |
13.256 |
320 |
4.2411 |
|
150 |
12.74 |
330 |
30.7701 |
|
160 |
12.5496 |
340 |
3.4509 |
|
170 |
12.4656 |
350 |
3.279 |
表4-1
|
|
K(109)N/m |
|
K(109)N/m |
|
K(109)N/m |
|
K(109)N/m |
|
0 |
6.3991 |
90 |
5.0111 |
180 |
5.2938 |
270 |
5.0111 |
|
5 |
2.4935 |
95 |
3.6888 |
185 |
3.4579 |
275 |
2.9738 |
|
10 |
3.6130 |
100 |
3.3156 |
190 |
4.5799 |
280 |
10.016 |
|
15 |
3.2837 |
105 |
6.0076 |
195 |
2.8184 |
285 |
2.8762 |
|
20 |
2.7938 |
110 |
2.7578 |
200 |
9.0791 |
290 |
7.5409 |
|
25 |
5.2028 |
115 |
1.1512 |
205 |
2.6340 |
295 |
3.2680 |
|
30 |
2.5736 |
120 |
2.7683 |
210 |
10.735 |
300 |
4.2517 |
|
35 |
9.1607 |
125 |
5.7354 |
215 |
2.8139 |
305 |
4.4096 |
|
40 |
2.6608 |
130 |
3.3017 |
220 |
4.9712 |
310 |
3.1247 |
|
45 |
7.2520 |
135 |
3.5187 |
225 |
3.5187 |
315 |
7.2520 |
|
50 |
3.1247 |
140 |
4.9712 |
230 |
3.3017 |
320 |
2.6608 |
|
55 |
4.4096 |
145 |
2.8139 |
235 |
5.7354 |
325 |
9.1607 |
|
60 |
4.2517 |
150 |
10.735 |
240 |
2.7683 |
330 |
2.5736 |
|
65 |
3.2680 |
155 |
2.6340 |
245 |
1.1512 |
335 |
5.2028 |
|
70 |
7.5409 |
160 |
9.0791 |
250 |
2.7578 |
340 |
2.7938 |
|
75 |
2.8762 |
165 |
2.8184 |
255 |
6.0676 |
345 |
3.2837 |
|
80 |
10.016 |
170 |
4.5799 |
260 |
3.3156 |
350 |
3.6130 |
|
85 |
2.9738 |
175 |
3.4597 |
265 |
3.6888 |
355 |
2.4935 |
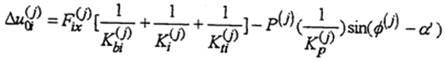
式(5-19)中的

是嚙合接觸點p與偏心套中心的距離因機構變形產生的變形增量。它包括齒板嚙合接觸點與高速軸孔中心的相對變形量、行星軸承的變形量、偏心套的變形量以及運動副間隙、輪齒齒形誤差等。可表示為
式中

是齒圈變形剛度,見表4-2;

是齒形法向誤差在坐標軸方向的分量;

是高速軸軸心的位移,它是由由箱體軸承變形及軸的彎曲變形引起的,即
式中

由(4-63)計算。
表4-2
|
φ K(108)N/m |
φ K(108)N/m |
φ K(108)N/m |
|
1.4285 2.633 |
121.4285 1.592 |
241.4286 0.551 |
|
7.1428 2.477 |
127.1428 1.143 |
247.1428 0.676 |
|
12.8571 2.280 |
132.8571 0.8665 |
252.857 0.860 |
|
18.5714 2.108 |
138.5714 0.6805 |
258.5714 1.127 |
|
24.2857 2.018 |
144.2857 0.5528 |
264.2857 1.566 |
|
30.00 2.000 |
150.0000 0.4625 |
270.0000 2.298 |
|
35.7142 2.042 |
155.7142 0.3980 |
275.7143 3.351 |
|
41.4285 2.181 |
161.4285 0.3512 |
281.4286 6.055 |
|
47.1428 2.376 |
167.1428 0.3168 |
287.1429 10.53 |
|
52.8571 2.712 |
172.8571 0.2926 |
292.8571 17.99 |
|
58.5714 3.223 |
178.5714 0.276 |
298.5714 20.41 |
|
64.2857 3.994 |
184.2857 0.2662 |
304.2857 14.656 |
|
69.9999 5.407 |
190.0000 0.2615 |
310.0000 9.91 |
|
75.7142 7.808 |
195.7143 0.2624 |
315.7143 6.526 |
|
81.4285 12.62 |
201.4286 0.2688 |
321.43 4.835 |
|
87.1428 18.75 |
207.1428 0.27915 |
327.1429 3.77 |
|
92.8571 19.76 |
212.8571 0.2969 |
332.8571 3.143 |
|
98.5714 12.50 |
218.7714 0.322 |
338.5714 2.772 |
|
104.2857 6.641 |
224.2857 0.358 |
344.2857 2.608 |
|
110.0000 3.755 |
230.0000 0.443 |
350.0000 2.565 |
|
115.7142 2.356 |
235.714 0.466 |
355.77143 2.612 |
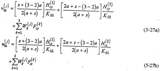
低速軸軸心位移

也是由箱體軸承變形及低速軸彎曲變形組成。但由于低速軸的法向尺寸較大、彎曲變形很小,故可忽略不計,只考慮箱體軸承的變形則有
式(5-27)及式(5-28)中s是兩則齒板靠近箱體的距離,a是齒板之間的距離。取箱體軸承的剛度

。偏心套的徑向變形

以及外齒輪的徑向變形

均很微小,故一般忽略不計。
高速軸的扭軸變形

由式)(4-59)計算。低速軸因徑向尺寸比高速軸的遠遠大,故其變形可忽略不計。
5.4三環減速器的載荷分布
三環減速器的載荷有嚙合力、行星軸承載荷以及箱體軸承載荷。其分布情況直接反映出三環減速器的動力學性能。下面分析SHQ40型三環減速器的載荷分布特性。SHQ40的有關參數為
i=20 z1=60 z=63 m=4 e=6.392mm a′=28.10 a=200 T=4000Nm n=1000rmp L1=400mm L2=210mm B=30mm s-55mm d=34mm
在不計各種誤差且機構變形很小時,將以上參數代入三環減速器的非線性動力分析方程式(5-1)~(5-8)、(5-18)、(5-19)、(5-22)~(5-23)等方程,在計算機上求解,就可求得三環減速器各載荷隨工況角φ的變化規5-4為計算程圖。
5.4.1 嚙合力分析規律
SHQ40型三環減速器的嚙合力隨φ的變化規律如圖5-5所錄。由圖可以看出嚙合力的以下規律:
1.三片齒板上對應的嚙合圖變化規律完全機同,彼此相位差為120°,以360°為擊期限變化。
2.無論在什么工況三片齒板的嚙合力之和總為常數,但各片齒板的嚙合力并不一定相等。即
3.在一個周期內,各齒板的嚙合力均各取得兩次數值不等的極小值和兩次數值相近的極大值。第一片齒板的極值點為
理想情況下,嚙合力的極小值在φ=0°、180°產生,極大值在φ=90°、270°產生,造成位置偏離的影響因素主要有軸承剛度,齒板剛度,嚙合角以及輸入轉速、傳動比等等。其中軸承剛度的影響極大。在死點的嚙合力也產不并一定為零。哈合力可能為負值。為負值時,將阻礙傳動的正常轉動,產生內齒輪副的干涉現象。并引起減速器沖擊振動。因此,按照嚙合力過死點時為零的假設分布規律以及嚙合力為常數分布規律的模型分析,所得結果都是不可靠的。圖5-6是齒板死點位置180°及另一齒板位于超前120°嚙合點的單齒嚙合圖的測試結果。圖中每一棒線代表被測齒受嚙合力作用一次。比較兩圖可知,死點位置嚙合力總體水平低于120°位置時的嚙合力總體水平,與理論分析計算的結果完全吻合。
4.將各齒板過死點時的嚙合力整理成表,見表5-1所示。
表5-1 齒板過死點時的嚙合力分布
|
轉角φ |
00 |
600 |
1200 |
1800 |
2400 |
3000 |
|
齒板號 |
第一號 |
第二號 |
第三號 |
第一號 |
第二號 |
第三號 |
|
死點位置 |
過00死點 |
過1800死點 |
過00死點 |
過1800死點 |
過00死點 |
過1800死點 |
|
P(1)×104 |
1.4039 |
1.77093 |
1.17171 |
0.20498 |
1.20178 |
1.80810 |
|
P(2)×104 |
1.17305 |
0.204983 |
1.2009 |
1.80283 |
1.40392 |
1.7759 |
|
P(3)×104 |
1.20178 |
1.80283 |
1.40614 |
1.77093 |
1.17305 |
0.194746 |
由表看出,各齒板過相同死點位置之不理時的嚙合力相等;某片齒板過死點位置時,其它兩片齒板超前或者范后干該片嚙合120°與水平軸對稱。因此,這兩片的嚙合力相等,從圖5-4也反映了這一點,這與實際情況相符合。
5.4.2高速軸行星齒輪減速器中,行星軸承受力大,壽命短,摩擦損耗大,是減速器的薄弱環節。因此,減小軸承載荷,提高行星軸承的壽命,一直是人們力求解決的問題。SHQ40型三環減速器的行星軸承動載荷,提高行星軸承的壽命,一直是們力求解決問題。SHQ40型三環減速器的行星軸承動載荷分布規律,見釁5-7、圖5-8、圖5-9所示。由圖可行出以下結論:
1.三片齒板上對應的行星軸承荷變化情況完全相同,彼此相位差120°,以360°為周期變化。
2.無論是輸入軸還是支承軸X方向的行星軸承載荷比y方向的要大,且一周內出現正負兩次峰值。這說明行星齒板在水平方向因動載荷產生的振動比垂直方向大。
3.由圖5-8可知,支承軸行星軸承在過死點時的y向軸承載荷(切向力)并不為0,說明某相機構在過死點時,是由其它兩相機構通過支承從動軸傳遞扭矩帶動該相機構通過死點的。因此,孤立地分析研究一相子機構將偏心套簡化為二力桿件建立的模型是不可靠的。
4.輸出軸的行星軸承總體載荷比支承軸行星軸承總體載荷大(圖5-9),特別是輸入軸X方向受力最大。輸入軸行星軸承載荷在死點附近取得最小值,在φ=105°、255°取得極大值。極大值產生的位置正好是機構傳動角最佳位置附近。在同一時刻,齒板上各輸入軸行星軸承的受力狀況是不是一樣的。當某一齒板接近其死點位置時,軸承載荷較小,而同時另外兩片遠離死點位置的齒板上輸入軸行星軸承載荷要大得多。支承軸的軸承載荷在一個周期內分別出現三次極大值和三次極小的值。由于這個原因使支承軸偏心套的微動磨損比輸入軸偏心套的微動磨損更為嚴重。行星軸承載荷的最大值為
F1max=40662.733713N φ=2550
F2max=32274.64763N φ=1250
根據軸承的壽命計算,三環減速器與K-H-V型少齒差行星減速器相比,K-H-V型的行星軸承當量動載荷約為三環式的1.86倍,而軸承受命,三環式的約為K-H-V型的6.33倍以上。
5.4.3箱體軸承載荷的分布規律
箱體軸承載荷的分布曲線如圖5-10、5-11、5-12的所示。
總體說來,箱體軸承載荷比行星載荷變化要平緩一些;輸入軸的箱體承載荷幅值比支承軸的大1倍以上,比輸出軸的大3.8倍以上。由于各軸的載荷分配不均等現現象,也將使減速器產生振動。各軸的箱體軸承載荷的最大值為
輸入軸

=28513.0064N φ=15
支承軸

=-32149.23N φ=15
輸出軸

=12587.355N φ=15
5.5影響三環減速器動力特性的因素
影響三環減速器的載荷分布特性的參數主要有輸入軸扭矩、轉速、嚙合角、傳動比、軸承剛度、齒板齒圈剛度以及偏心套或齒板的結構參數等。了解這些參數對三環減速器動力性能的影響,對正確設計三環減速器具有重要意義。
5.5.1 輸入參數的影響
輸入參數包括輸入扭矩、輸入轉速。這兩個參數對三環減速器的影響很大。現有的三環減速器用于高速重載時,產生的振動和噪聲都非常大、輸入扭轉的影響可由式(5-4)分析。
當n=1 即單軸輸入時
由上式可知,當減速器幾何參數一確定,e及r
2均為已知參數。因此增大M,必須引起左邊的行星軸承載荷

增大使方程式(5-30)平衡。圖5-13是輸入扭矩分別為150N.m及200N.m時的嚙合圖。由圖可看出,負載增加,嚙合力幅值增大。采用雙軸輸入時可降低各載荷的幅值,使其均衡化。圖5-14是單軸輸入時的嚙合力及行星軸承載荷。圖5-15是雙軸輸入時的嚙合力及行星軸承載荷。從兩圖比較得知,無論是嚙合力,還是軸承載荷,采用雙軸輸入后其變化均趨于平緩,幅值降低很多,三相嚙合力趨于均衡,而且負向嚙合力已消除。
輸入扭矩對減速器的靜態載荷產生影響,而轉速是對動態載荷產生影響。圖5-16是輸入轉速對減速器的載荷影響情況。轉速越大,三相嚙合力越不均衡,當轉速超過1500rpm后,第三相齒板與外齒輪的嚙合力變成負值。負向嚙合力將阻礙輸出軸的轉動,使內嚙合副產生干涉。第一片齒板的嚙合力最大,幅值隨轉速的增加而增加。從行星軸承載荷看,轉速小于1600rpm時載荷較均衡,大于1600rpm后,隨轉速加大,其幅值變大。
5.5.2結構參數的影響
當三環減速器各軸之間的中心距確定后,影響其動力性能的主要結構參數有偏心距、壓力角、齒數差(或傳動比)以及偏心套外圓半徑、內齒板高速軸孔大小(或行星軸承尺寸)等等。設計時,不能孤立地考慮這些參數,它們之間存在相互影響的關系。偏心距由壓力角、齒數差(或傳動比)決定,即:
由上式知,當齒數差Z2-Z1越小或傳動比i越大時,偏心距e越小;壓力角越大時,偏心距e越大,則選用的行星軸承尺寸大,齒板高速軸承孔徑也就大。圖5-17是傳動比、壓力角、以減速器行星軸承載荷的影響。由圖可見,傳動比的變化對減速器的動力性能影響極大;傳動比越大,則偏心距越小。由式(5-30)分析得,行星軸承載荷必須大。壓力角的變化,對行星軸承載荷影響小得多。
圖5-18是偏心套外徑對嚙合圖的影響。當不考慮偏心套外徑(r2=0)時,嚙合力分布為正值。考慮偏心套外徑(r2=37.5mm)計算結果,出現負向嚙合力。而且其幅值明顯增大。輸入扭矩也不再是固定值。因此,對三環減速器進行動力計算,必須考慮r2的影響。此外,行星軸承內外圈接觸承載位置,也影響三環減速器的動力性能。
5.5.3剛度的影響
只考慮行星軸承變形及齒板變形時,影響三環減速器載荷特性的剛度,主要是行星軸承剛度、和內齒圈的變形剛度。軸承剛度與軸承材料、間隙、油膜等很多因素有關。圖5-19是輸入軸行星軸承剛度對嚙合力及行星軸承載荷的影響。當輸入行星軸承剛度小一個數量級時,負向嚙合力區域增大(見圖5-19a);隨剛度減小、各相嚙合力越不均恒(圖5-19b),輸入軸行星軸承剛度的影響比輸入軸行星軸承剛度更大,見圖5-20所示。嚙合力及各行星軸承載荷在軸承剛度較小的情況時,都出現正常載荷的10倍以上的沖擊現象,沖擊產生的位置隨剛度變化不同。內齒圈剛度對載荷的影響與行星軸承剛度相反(見圖5-21所錄)。當剛度越小時,三相齒板的嚙合力越均恒(見圖5-21a),而且行星軸承載荷幅值基本上不變(見圖5-21b)。同此可推知,減小三環減速器振動的途徑之一就是提高行星軸承剛度,減小內齒圈剛度。這可以通過對行星軸承進行預緊,和采用軟齒面或大柔度齒圈的辦法,以使嚙合力和行星軸承載荷均衡化,以達到減振降噪的目的。
5.6三環減速器的軸間布置
三環減速器的特點之一就是適應性強,只要保證輸入與輸出的中心距要求,就可以任意調整支承軸,以滿足各種空間要求,但各軸間的相對位置不同,對其動力特性的影響各異。
5.6.1 各軸水平布置時的載荷分布特性
各軸水平布置時,軸間的中心距變化,將引起各載荷大小幅值、規律均發生變化。圖5-22是輸入軸相對輸出軸位置變化時,減速器的嚙合力及軸承載荷變化情況。由圖可知,當輸入軸與支承軸中心距(L2=200mm)很小時,三齒板的嚙合力分配很不均衡,隨著L1的增加嚙合力趨于均衡(見圖5-22a)。行星軸承載荷變化情況見圖5-22b所示。
當

時,載荷產生沖擊為無窮大,L
1≥400mm以后,隨著L
1的增加,三相行星軸承載荷幅值變化很緩慢,接近于直線分布。但箱體軸承載荷的幅值在L
1>350mm后,隨L
1增加各相之間的幅值差變大,趨于不均衡狀態(見圖5-22c)。因此SHQ50型及SHQ63型的三環減速器的振動比SHQ40型的大。
支承軸的位置L2變化的載荷分布規律與輸入軸位置L1變化的載荷分布規律相似(見圖5-23所示),但當L2后各相載荷之間的幅值差比L1變化時要小很多,故各相之間的載荷分配比較均衡。這是因為L2> L1=200mm以后,減速器為中軸輸入。中軸輸入時,無論是嚙合力還是軸承載荷的分布特性都較好。各相載荷分配也比較均衡。
5.6.2各軸任意布置時的載荷分布特性
當輸入軸與軸出軸的中心距確定后,可通過調整支承軸的位置,滿足特殊的空間位置要求,或者設計成載荷分布特性最優、幅值最小的減速器。圖5-24是中心距L1=400mm、L2200mm時,支承軸相對于輸出軸轉動的角位移 變化時嚙合力及行星軸承載荷的分布情況。由圖看出,各種載荷均在180°附近(SHQ偏置式減速器)取得極大值。在0°~90°和270°~360°范圍(Ⅰ、Ⅳ限內),三相齒板嚙合力分配很均衡,嚙合沖擊很小。因此。設計三環減速器時,為減小載荷的幅值和各相之間載荷的差值、支承軸應盡可能遠離180°,即不采用三軸心共線的水平位置的結構。圖5-25為幾個特殊位置的嚙合力隨轉角變化的分布規律。