圓柱正弦活齒傳動系統動力學特性研究
4.1引言
機械傳動系統把運動和動力由動力源傳遞給機器執行件的工作過程中,經常會受到激振力和激振力矩的作用,從而使傳動系統的零部件產生扭轉振動,振動將直接影響到機械系統的精度、效率、壽命、安全性和可靠性,由此而產生的噪音也對環境產生干擾和危害。因此在設計機械傳動系統時,必須考慮將振動的量級控制在一定范圍內,以保證系統具有良好的動態特性。為設計高性能的圓柱正弦活齒減速器,了解該傳動系統的動態特性,有必要對其進行扭振動力學分析,以便評價其振動水平,并找出影響動態特性的薄弱環節,從而為進一步動態結構優化設計、提高減速器的動態性能提供了理論依據。評價傳動裝置的動態性能通常有試驗法和計算法兩種方法。一般情況下,試驗法可獲得較準確的結果,但只適用于評價給定的實物或模型。而計算法通過建立動力學模型,在設計階段就可獲得評價系統動態性能所需的各種數據資料,并可根據分析結果來進行優化設計,從而在設計階段就能得到一個具有良好動態特性的系統設計方案,因此計算方法比試驗法更經濟實用,但數學模型的建立具有一定的難度。
用計算方法對減速器系統進行動態分析時,其常用的數學模型有集中參數模型、分布質量模型和有限元模型三種。其中,有限元法是一種比較成熟的方法,并有現成的商用程序軟件(如NASTRAN,SUPGl,I-DEAS等)可供用戶使用,但它要求用戶有相當高的分析與判斷能力以及豐富的實踐經驗。該方法建立的動力學模型雖然精度較高,但只能用來分析參數固定的減速器,面對參數化的系列減速器,應用有限元法進行分析就顯得非常繁瑣,并且費時費力、效率低。而且在下一章的動態優化設計中需要對具有不同設計參數的減速器進行動態分析以獲得訓練神經網絡的樣本,此時有限元法就顯得無能為力。因此,在本次研究過程中,采用了以集中參數模型表示的拉格朗日法,該方法基于系統能量的觀點去分析系統,建立系統動力學方程,由于能量法中使用的量是標量(動能、勢能、功),而不是向量(位移、力等),因而使對問題的描述更為簡潔、容易和全面,且計算結果完全可以滿足工程實際的需要。本章利用拉格朗日方程建立了該減速器的扭振動力學方程,計算了它的動態參數和能量分布,對減速器系統進行計算、分析和評價,找出了其薄弱環節,為進一步提高其動態特性提供了理論依據。應用Pro/ENGINEER建立起減速器的三維實體模型,利用ANSYS有限元分析軟件對圓柱正弦活齒減速器的關鍵傳動件進行了模態分析。
4.2系統扭振動力學模型的建立
為分析圓柱正弦活齒傳動系統的動態特性,首先需要根據系統結構建立其動力學模型。圓柱正弦活齒傳動的結構簡圖如圖4-1所示。
根據各種零件動力學作用的不同,可把組成系統的各元件分成兩類,即慣性元件和彈性元件。慣性元件指的是各軸及軸上的旋轉質量,如齒輪、軸上直徑較大的凸緣等盤類零件。當傳動系統發生扭轉振動時,它們對系統的動力學作用,主要反映在轉動慣量方面,所以稱之為慣性元件。彈性元件是指兩慣性元件之間的軸段,它可以不計質量而只考慮扭轉變形,它對振動系統的作用在于本身的扭轉剛度。
建立圓柱正弦活齒減速器扭振動力學模型時,將活齒和其它質量較大而長徑比較小的零件作為只有慣性而無彈性的慣性元件。把同一軸上各慣性元件的轉動慣量根據實際情況,轉換到該軸的兩端,形成兩個等效圓盤。計算兩剛性圓盤之間所有軸段的扭轉剛度和轉動慣量,將各軸段的轉動慣量迭加到該軸的兩慣性元件上(一般可平均分配),各軸段的扭轉剛度轉換成一個彈性軸段的扭轉剛度,其值應與兩慣性元件之間實際軸段的扭轉剛度相等。
對于圖4-2a所表示的活齒與主動軸之間、活齒與導架之間、活齒與殼體之間的嚙合副而言,當嚙合處的彈性變形不能忽略時,可以引入一個等效的彈性軸段,視為一個彈性元件,如圖4-2b所示。
根據上面敘述的方法,可以建立起如圖4-3所示的動力學模型。為便于分析,將圓柱正弦活齒傳動系統的動力學模型簡化,由于在一個工作周期中,各活齒在扭振方向的工作狀態完全相同,故可將所有的活齒等效為一個慣性元件,并根據熱能不變的原則,將各活齒副的嚙合剛度轉化為等效的扭轉剛度,然后疊加得出整體的等效扭轉剛度。由此,各活齒與主動軸、導架及殼體間并聯的彈性連接和阻尼分別等效為一個彈性軸段。等效簡化后的動力學模型如圖4-4所示。
4.3系統扭振數學模型的建立
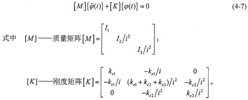
將上述模型進一步轉換成鏈狀結構。此時,需將圖4-4中各軸上的剛性圓盤和彈性軸段轉換到同一軸線上,構成單一軸線的等效圓盤系統的扭振動力學模型。轉換時,可轉換到輸出軸上,也可轉換到輸入軸或中間任一傳動軸上。轉換中,按轉換前后系統的動能和勢能保持不變的原則。將所有參數轉換到輸入軸上,設

和

分別為轉換前后各慣性元件的扭轉角,按傳動比關系有:

(4-1)
式中 i——減速器的傳動比。
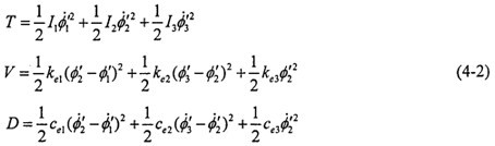
轉換前系統的功能T、勢能V和阻尼功D分別為:
式中 I1——主動軸轉動慣量(kg·m2);
I2——活齒等效轉動慣量(kg·m2);
I3——導架轉動慣量(kg·m2);
ke1——主動軸與活齒間的等效扭轉剛度(N·m/rad);
ke2——導架與活齒間的等效扭轉剛度(N·m/rad);
ke3——殼體與活齒間的等效扭轉剛度(N·m/rad);
Cel——主動軸與活齒間的等效扭轉阻尼(N·m·s/rad);
Ce2——導架與活齒間的等效扭轉阻尼(N·m·s/rad);
Ce3——殼體與活齒間的等效扭轉阻尼(N·m·s/rad)。
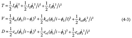
根據轉換前后系統的動能、勢能和阻尼功保持不變的原則,將式(4-1)代入式(4-2)中,得到轉換后系統的動能、勢能和阻尼功分別為:
對轉換成鏈狀結構的系統,應用拉格朗日法建立系統的扭振動力學方程,系統中帶有粘性阻尼,因此列出含有耗散函數的拉格朗日方程
式 L——拉格朗日函數L=T-V;

——廣義坐標(i=1,2,3);

——廣義力(N)(i=1,2,3)。
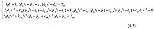
將式(4-3)代入拉格朗日方程(4-4)中,得到系統的動力學方程如下所示:
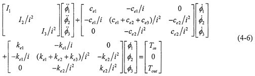
將式(4-5)用矩陣形式表達,則系統的動力學方程可寫為:
4.4系統固有特性及勢能分布率
系統固有頻率以及相應主振型表現了系統的固有特性,其數值只跟系統本身的參數有關,而與其它條件無關。通過研究系統的固有特性,可對系統的動力學性能進行分析,并根據分析結果修改結構參數,以達到對結構優化設計的目的。
4.4.1系統固有頻率和主振型
在分析和評價減速器系統扭振特性時,需要計算系統的各階固有頻率以及相應的主振型,這就要求解系統的無阻尼自由振動方程。當系統自由振動時,激振力矩和阻尼均為零,此時系統的動力學方程可表示為
為求解系統無阻尼自由振動方程,在微振動的情況下,方程(4-7)的解可寫成如下形式:

(4-8)
式中 ω——固有圓頻率(rad/s);
{

}——角位移的振幅列向量。
將式(4-8)代入式(4-7)中,并消去因子Sinωt,得到
([K]-ω
2[M]){

}=0 (4-9)
ω
2和{

}又稱為廣義特征值和廣義特征向量。由此,求解系統固有頻率和主振型的問題就轉化為求解方程(4-9)的廣義特征值和廣義特征向量的問題。
4.4.2模態柔度和勢能分布率
為使設計的系統具有良好的動態特性,在建立了反映傳動系統動態特性的數學模型的基礎上,可對結構進行修改和優化設計。通常是要求把結構的振動強度或動柔度限制在一定的范圍內。關鍵過程是首先找出結構的薄弱環節,然后有針對性的修改薄弱環節的局部結構,從而使整個系統的動態特性滿足要求。為此需對系統的模態柔度和勢能分布率進行考察。
由于系統的最大能量Emax是與振型向量{Θ}的平方成正比的,不論阻尼大小如何,這個比例關系總是一定的。因此,模態柔度是一個與阻尼無關的參數,其大小僅取決于系統的結構參數和物理參數。改變結構參數、物理參數的大小和配置方式,均將使其發生明顯的變化。系統的第s階模態柔度R(s)的定義為
式中

——系統末端在第s階模態振動時的扭振幅值(rad);

——系統中第i個彈性元件在第s階模態振動時的熱能。其值為
式中

——系統中第i個彈性元件在第s階模態振動時的轉角(rad)。
模態柔度的大小表明了該階模態的危險程度。模態柔度越大,該階模態越危險。但并不能僅憑模態柔度值來分析造成模態危險的原因,為確定結構修改的部位和修改內容,還必須考察各個彈性元件的勢能或勢能分布率。勢能分布率定義為
勢能分布率的大小表明系統中彈性元件變形能的大小,勢能分布率最大的元件也就是系統的最薄弱環節,即造成該階模態危險的主要原因。據此可以確定相應的改進措施,以提高系統的動態性能。
4.5扭振動力學模型參數的確定
為求解圓柱正弦活齒減速器扭振動力學模型,首先要確定模型中的參數,其中包括幾何參數、物理參數和外載荷參數。幾何參數通過對減速器系統結構設計來確定,物理參數包括質量參數(如轉動慣量)、剛度參數(如活齒副嚙合剛度)和阻尼參數(如軸類零件扭轉阻尼)。下面給出活齒等效轉動慣量、活齒副等效扭轉剛度和軸類零件扭轉阻尼的計算方法。
4.5.1慣性元件的轉動慣量
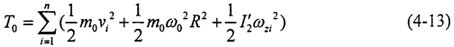
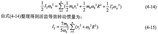
在圓柱正弦活齒傳動中,所有活齒不僅沿圓周方向作等速旋轉,同時還在軸句方向發生位移。為簡化系統的動力學模型,需根據動能不變的原理,將所有活齒等效為一個慣性元件。
所有活齒的總動能:
n——活齒個數;
R——活齒在圓周方向的分布半徑(mm);
v
i——單個活齒沿軸線方向運動速度v
i=Aω
0Z
3cos(Z
3
),(mm/s);

——單個活齒轉動慣量

,(kg·mm
2);
ω
zi——活齒自轉角速度ω
zi=

(rad/s);
r——活齒半徑(mm);
ω0——活齒在圓周方向的旋轉角速度(rad/s);
m
0——單個活齒的質量m
0=

,(kg);
P——活齒的材料密度(kg/mm3)。
根據轉換前后動能不變的原則,可列下式:
4.5.2彈性元件的扭轉剛度
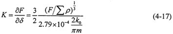
活齒副的嚙合剛度是指工作時活齒副共同抵抗變形的能力,它與嚙合副的綜合彈性變形有關,在點接觸的情況下,兩接觸體變形趨近量為
式中 F——接觸點處法向作用力(N);

——赫茲系數;
∑P——主曲率和(1/mm)。
活齒副的嚙合剛度可表示為
單個活齒副嚙合剛度對整體剛度的貢獻是角度的函數,不能簡單疊加。因此需要先根據勢能不變的原則,將各活齒副嚙合剛度轉化為等效的扭轉剛度,然后疊加得出整體的等效的扭轉剛度。
對于活齒與主動軸(或殼體)正弦滾道的嚙合副來說,主動軸的角位移△ 在接觸點作用力的方向上產生的等價線位移為
x
i=R
2△

·sin
2a
ni·cos
2(u
i) (4-18)
式中 ani——接觸角(rad);
ui——瞬時接觸線的方位角(rad)。
由嚙合剛度產生的勢能與轉換后的扭轉剛度產生的勢能相等,可列方程
式中 Ki——嚙合剛度(N/mm);
n——活齒個數。
將式(4-18)代入式(4-19),整理得到等效后的扭轉剛度為
同理,對于活齒與導架的嚙合副來說,嚙合剛度轉化成等兒扭轉剛度為
4.5.3軸類零件扭轉阻尼
軸類零件的扭轉阻尼主要是材料阻尼,根據H.H.Lin和C.Lee等的分析,其扭轉阻尼可利用下式進行計算:
式中 ks——軸類零件的扭轉剛度(N·mm/rad);
ξs——軸類零件的扭轉阻尼系數,根據D.R.HOuser等的試驗研究;
ξs一般取0.005~0.075;
I1,I2——分別為軸類零件兩端慣性元件的轉動慣量(kg·m·mm)。
4.6圓柱正弦活齒減速器扭振動態特性分析
初步確定圓柱正弦活齒減速器的結構參數:主動軸正弦滾道周期數Z1=1,殼體正弦滾道周期數Z3=4,傳動比i=5,活齒半徑r=4mm,正弦滾道幅值A=4mm,導架壁厚b=3mm,正弦滾道深度b1=2mm,額定輸入轉速150Orpm,額定輸出扭矩20N.m。利用前面建立的圓柱正弦活齒減速器系統的動力學模型對減速器系統進行扭振分析,找出系統的固有特性,即固有頻率和主振型。由于軸承的旋轉阻尼很小,這里忽略不計。根據減速器各元件實際尺寸及式(4-20)、(4-21)計算得到各慣性元件的等效轉動慣量、彈性元件的等效扭轉剛度如表4-1所示。
表4-1慣性元件的轉動慣量和彈性元件的扭轉剛度
|
Il
(kg·m·mm) |
I2
(kg·m·mm) |
I3
(kg·m·mm) |
ke1
(N·mm/rad) |
ke2
(N·mm/rad) |
ke3
(N·mm/rad) |
|
0.06452 |
0.00928 |
0.140163 |
1.1589×106 |
9.6431×107 |
1.4606×107 |
根據式(4-9)、(4-10)及(4-12)計算出固有頻率、勢能分布率和模態柔度見表4-2。利用Matlab編制程序還繪制出圖4-5所示的減速器系統的振型曲線。
表4-2圓柱正弦活齒減速器扭振動力學分析結果
|
固有頻率(Hz) |
644.357 |
1539.216 |
17922.727 |
|
主振型 |
{1.0000,0.43699,
0.44766} |
{1.0000,-21.037,
-24.347} |
{1.0000,-3525.3,
202.23} |
|
勢
能
分
布
率
|
彈性元件1 |
0.8960135 |
0.0945825 |
0.0094040 |
|
彈性元件2 |
0.0004073 |
0.1271889 |
0.8724037 |
|
彈性元件3 |
0.1035791 |
0.7782286 |
0.1181923 |
|
系統模態柔度 ×10-6(rad/(N·mm)) |
0.18604 |
1.78412 |
0.0006657
|
通過表4-2中的分析結果我們可以看出,二階(1539.246Hz)系統模態柔度最大,所以該階模態是危險模態。要找出造成該階危險模態的具體原因,我們可以考察各彈性元件的勢能分布率。從表4-2中可以看到,此時3號彈性元件的勢能分布率最大,這說明在扭轉時,它的彈性變形能最大,即它是最薄弱環節,是造成危險模態的主要原因。從這個結論出發,便可以采取相應措施來改進設計方案。通過適當增大殼體正弦滾道與活齒間的嚙合剛度來提高等效扭轉剛度,便可改善該減速器的動態特性。動態性能好的系統應該是各階模態柔度小而且每階模態中各元件的能量分布均勻。為了達到這個目標,可以按照上述方法繼續調整有關彈性元件的扭轉剛度,直到獲得滿意的結果為止。
在負載變化和誤差較小的情況下,圓柱正弦活齒減速器系統的激勵頻率就是嚙合剛度的變化頻率。它的計算如下:
ƒ=n1/60=25Hz (4-23)
式中 ni——輸入軸轉速(rpm)。
由表4-2中結果可知,減速器系統的一階基頻為644.357Hz,系統基頻遠遠大于激勵頻率,因此該減速器的振動水平較低,振動和噪聲較小。
4.7圓柱正弦活齒傳動的有限元模態分析
有限元法(FEM)是一種采用計算機求解結構靜、動態力學特性等問題的數值方法,它具有精度高、適應性強以及計算格式規范統一等優點,現已廣泛應用于機械、航空宇航、汽車、船舶,土木、核工程及海洋工程等許多領域,成為現代機械產品設計的重要工具。當前,國際上最具影響力的有限元分析軟件之一是美國ANSYS公司開發的ANSYS軟件。
ANSYS軟件是融結構、傳熱學、流體、電磁、聲學、爆破分析為一體的大型通用有限元分析軟件,按其功能作用可分為:一個前處理器、一個求解器、兩個后處理器、幾個輔助處理器等。前處理器用于生成有限元模型;求解器用于施加載荷及邊界條件,完成求解運算;后處理器用于獲取求解結果,以便對模型做出評價。另外,ANSYS還提供了強大的數據接口程序,使得在其他CAD軟件中建立的模型可以很方便的導入ANSYS中,一旦模型成功導入后,就可以像在ANSYS中創建的模型那樣對此模型進行求解運算。這些接口程序是由ANSYS公司或CAD供應商編寫的軟件。
其中值得注意的是ANSYS-Pro/ENGINEER接口,因為它提供了以執行部件為基礎的參數化優化設計的功能。該功能允許由部件為基礎的參數化Pro/ENGINEER模型開始,用ANSYS程序對其進行優化,并以一個優化的Pro/ENGINEER模型結束,且仍是以部件為基礎的參數化模型。
4.7.1減速器三維實體模型的建立
進行有限元分析前首先必須建立減速器的三維實體模型。雖然ANSYS在有限元分析方面具有強大的功能,但是在三維實體建模方面并不比專業的CAD軟件占有優勢。對于復雜的實體模型,甚至需借助其它軟件才能完成。
工程用三維實體建模軟件主要有Pro/ENGINEER、Ideas、UG等。其中美國PTC公司開發的Pro/ENGINEER是世界上第一個基于特征的參數化實體建模軟件,其在三維建模、尤其是復雜曲面的造型方面處于國際領先水平。考慮到圓柱正弦活齒減速器中,主動軸及殼體等零件的實體特征比較復雜,因此本文采用Pro/ENGINEER對減速器進行三維實體建模。
在進行有限元分析時,我們將螺栓、端蓋等輔助零件予以忽略,而只關注與減速器工作直接相關的主動軸、活齒、導架和殼體等關鍵零件,據此建立減速器三維實體模型如圖4-6所示。
4.7.2主動軸及導架的模態分析
在結構動力學分析中,模態分析用于確定所設計的結構或機器部件的振動特性(固有頻率和振型)。由于主動軸和導架動力學特性直接影響減速器的性能及壽命,所以應對主動軸、導架進行模態分析,確定其固有頻率及振型,也為譜響應分析、隨機振動分析創造條件。
零件模型采用IGES格式導入ANSYS,對于結構中含有復雜曲面的模型,Pro/E和ANSYS中定義的拓撲結構也不盡相同,若直接將在Pro/E中輸出的IGES格式實體模型導入ANSYS,會致使網格劃分耗費大量時間,甚至導致無法對模型劃分網格。因此,本文在Pro/E中僅將模型的表面以IGES格式輸出,在導入ANSYS后,應用VA命令將零件表面重新生成實體。值得注意的是,生成體之前,應采用AGLUE命令檢查面與面交界的連續性,否則將不能成功生成實體模型。
拓撲修補后選擇單元為solid45,指定楊氏模量為2.06×1011N/m2,密度為7800kg/m2,泊松比為0.3。對模型采用人工網格劃分,利用LESIZE來控制網格密度,考慮到主動軸空間正弦滾道的結構特點,分割正弦滾道邊界曲線和正弦滾道的三條拓撲線,并使線分割的密度相同。對于導架,分割活齒槽的直邊,并使線分割的密度相同。
四面體單元每個節點有三個自由度(Tx,Ty,Tz),通過限制節點的自由度,對模型施加約束。模擬軸承的作用,在安裝軸承處的零件表面施加約束,首先將表面上所有節點的坐標由笛卡爾坐標(x,y,z)轉換為柱坐標(R,θ,Z),然后限制自由度R。并在主動軸的輸入軸端面和導架的輸出軸端面,限制所有節點的自由度。劃分網格并施加約束的主動軸見圖4-7。
選擇Subspace特征值求解器,指定擴展模態數為4,頻率范圍為0~1000Hz。求得輸入軸的前四階固有頻率為101.SHz、207.2Hz、660.6Hz、661.2Hz,對應的振型見圖4-8。一階振型為繞z軸扭轉,二階振型為沿z軸軸向拉伸,三階振型為在xoz平面彎曲,四階振型為在yoz平面彎曲。
同樣劃分網格并施加約束的輸出軸見圖4-9。求得輸出軸的前四階固有頻率為82.2Hz、265.4Hz、386.2Hz、386.7比,對應的各振型見圖4-10。一階振型為繞z軸扭轉,二階振型為沿z軸軸向拉伸,三階振型為在xoz平面彎曲,四階振型為在yoz平面彎曲。
根據旋轉軸轉速與頻率的關系:
n=60·ƒ (4-24)
式中 n——轉速(rpm);
ƒ——頻率(Hz)。
將主動軸、導架的固有頻率轉化為臨界轉速,所得結果見表4-3。
表4-3 主動軸、導架的臨界轉速 (rpm)
|
|
主動軸 |
導架 |
|
階次 |
1 |
2 |
3 |
4 |
1 |
2 |
3 |
4 |
|
轉速 |
6108 |
12432 |
39636 |
39672 |
4932 |
15924 |
23172 |
23202 |
輸入軸和輸出的工作轉速分別為1440rpm和288rpm,從表4-3中可以看出,兩軸的工作轉速均大在低于臨界轉速。
4.8本章小結
1.將圓柱正弦活齒減速器的各個零件簡化成相應的慣性元件和彈性元件,建立減速器的系統動力學模型:利用拉格朗日方程從系統能量的角度建立了減速器系統的動力學數學模型;并給出了活齒等效轉動慣量、嚙合副等效扭轉剛度和軸類零件阻尼的計算公式;
2.根據建立的動力學模型,通過編程求解圓柱正弦活齒減速器系統的無阻尼自由振動方程,得到了該系統的固有頻率、模態柔度和各階振型等固有動態特性參數。結果表明,該減速器具有良好的動態特性;
3.根據所求的模態柔度和各彈性元件的勢能分布率,找到了危險模態及導致危險的薄弱環節,為進一步改進其結桅桿,提高動態特性,提供了理論依據;
4.應用Pro/ENGINEER建立起減速器的三維實體模型,利用有限元分析軟件ANSYS對樣機中的關鍵件進行了模態分析。