具有非線性遲滯特性鋼絲繩聯軸器建模與參數辨識
3-1引言
由上章對聯軸器振動試驗研究結果可知,在大位移振動情況下,聯軸器表現出非線性遲滯特性.這一特性直接與聯軸器動剛度及阻尼有關,當這種聯軸器用于船舶推進軸系時,將影響到軸系的動力特性,因此弄清楚聯軸器恢復力與動剛度和阻尼的關系,即建立聯軸器恢復力的數學模型是十分重要的,對于深人分析研究推進軸系的動力特性也是不可缺少的。
由鋼絲繩聯軸器的
-x遲滯回線可知,聯軸器的遲滯特性不宜用雙線性模型來描述,主要原因是雙線性模型與聯軸器的動態遲滯回線外形相差甚遠,雙線性模型將系統剛度系數處理成二個線性剛度系數。這不足以描述鋼絲繩聯軸器的非線性遲滯特性中的非線性剛度系數,雙線性模型阻尼僅處理為干摩擦阻尼,也不足以描述聯軸器阻尼的復雜成分。一階微分方程模型主要用于遲滯系統的隨機響應分析中,這種模型用于計算遲滯系統的穩態動力響應很不方便,模型中各參數的物理意義不明確,模型形式不利于各參數的辨識,而且彈性力和阻尼力在恢復力表達式中不顯現,不利于理論分析;谄骄偷刃г淼嫩E法和以此為基礎K0等建立的模型都有自己的不足,前者只能描述遲滯恢復力與位移和速度的關系,而不能全面描述遲滯恢復力與各振動參數的關系,后者只能描述三個階次非線性彈簧剛度,其應用范圍受到限制。由此可知,現有描述遲滯特性的數學模型都不能用來描述聯軸器的非線性遲滯特性。因此,本章將在前人研究的基礎上,研究聯軸器動剛度和阻尼的特性,建立既能合理描述聯軸器非線性遲滯特性又能滿足較高精度要求的數學模型。
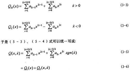
3-2擬合分解恢復力一位移遲滯回線
上一章的試驗研究表明,鋼絲繩彈性聯抽器的本構關系十分復雜,其恢復力是聯軸器動剛度和阻尼的函數,而動剛度和阻尼又是振幅和頻率的函數。因此,我們將依靠試驗獲得的測量數據,在跡法和文獻的基礎上,深人研究聯軸器遲滯特性,建立聯軸器的數學模型。
由前面聯軸器位移一恢復力試驗可知,遲滯回線可以分為上、下兩條,分別對應于速度大于零和速度小于零。在鋼絲繩彈性元件性質相同和安裝幾何對稱的情況下,上、下兩條恢復力曲線可以認為是位移反對稱的。于是可以用冪函數多項式,按最小二乘法原理來擬合代表試驗數據的上、下兩條恢復力曲線,設用于擬合上遲滯回線數據的冪函數多項式為:

根據反對稱,用于擬合下遲滯回線數據的冪函數多項式為:

式中,
H,
分別為聯軸器遲滯恢復力上、下曲線,x為位稱,ai為冪函數多項式系數。
冪函數多項式所取項數n按擬合的遲滯回線形狀和對表達式要求的精度而定。將(3-1)和(3-2)式中冪函數多項式的奇、偶次項分開寫,可進一步表示為:

經以上數學處理,聯軸器的動態遲滯回線可以分解成
1(x)和
2(x,
)兩部分,即聯軸器的遲滯恢復力由兩部分組成。戒n取奇數。從幾何意義上講,第一部分為一條單值非線性函數曲線,第二部分為一條雙值的非線性閉合曲線。從物理意義上講,第一總值發代表遲滯恢復力中的非遲滯非線性彈性恢復力;第二部分代表遲滯恢復力中的純遲滯非線性阻尼力。
由試驗知,聯軸器的遲滯恢復力不僅是位移x和速度
的函數,而且還是振幅A和頻率ω的函數,因此識滯恢萬力的教學模形沒為:
(3-7)
由此可見,遲滯恢復力的函數關系相當復雜,
由試驗還可以知道,頻率增大至一定值后動剛度和阻尼僅是振幅A的非線性函數,在這種情況下,遲滯恢復力的數學模型可表示為:
(3-8)
由此,我們得到兩種形式的聯軸器恢復力數學模型,前者為考慮頻率影響的數學模型,后者為不考慮頻率影響的數學模型。
至此,盡管我們將遲滯恢復力
擬合分解成了兩部分,但是
l和
2取什么樣的函數形式,仍然是一個難題。對此,分三步來研究。第一步先求出不同頻率和振幅下遲滯數據回線的擬合遲滯回線,得到對應的各階離散的剛度系數值,以及遲滯阻尼耗能值;第二步再找出這些數值與頻率、振幅的函數關系表達式,從而得到
l和
2的函數關系表達式,第三步,通過參數辨識,尋找出
l和
2表達式中的各參數。
由遲滯回線的形狀可知,聯軸器具有強非線性的特性,為了在數學模型中反映出強非線性的特性,選9階幕函數多項式來擬合上、下遲滯回線(n=9),對一定頻率和振幅的每一組試驗遲滯回線數據,由線性最小二乘法原理一辨識對應的各階擬合系數。對圖2-14中各遲滯回一數據進行擬合,將所得的擬合遲滯回線與圖2-14的遲滯回線畫在一起,如圖3-1(a)所示,由此圖可知,兩者重合性很好。
為了說明5階和7階冪函數多項式擬合的精度情況,以振幅A=8毫米,頻率為1赫茲為例,畫出擬合回線分別如圖3-1(b)、3-1(c)所示,將它們與對應試驗回線圖3-1(d)比較,可知7階擬合精度高于5階。圖3-1(e)為圖3-1(b)與圖3-1(d)的合圖。


為了得到(3-6)式所示的
l,
2,將擬合得到的各冪函數多項式奇、偶次項分開寫成(3-5)式形式并作對應的曲線圖,如圖3-2(見34頁)所示,它樣就將恢復力分解成了單值
非線性函數曲線和雙值的非線性函數閉合曲線,由此得到了對應的
l(x)和
2(x,)的若干組函數表達式:

式(3-9)中各系數a2i-1實質上代表聯軸器彈性恢復力在對應頻率、振幅下的各階剛度系數。
3-3聯軸器數學建模
一、不考慮頻率影響的數學模型
由于聯軸器恢復力僅在一個小范圍內受頻率的影響,當頻率達到一定值后,聯軸器恢復力僅是振幅的函數,在這種情況下,數學模型的表達式為(3-8)式。下面分別研究
l和
2函數表達式的結構形式。
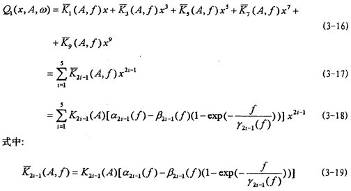
1.非遲滯非線性彈性恢復力
l的數學模型
在不考慮頻率影響的情況下,聯軸器彈性恢復力,由以上分析,可以建立其數學模型如下:

式中K1(A)--K9(A)是鋼絲繩聯軸器第一~九階彈簧剛度函數。
這樣的數學模型充分地考慮了高階非線性彈性力的影響。式中K2i-1(A)僅是振幅的函數,其數學模型為:
(i=1,2,3,4,5) (3-13)
式中n′根據精度要求而定。
2.遲滯非線性阻尼力
2的數學模型
由擬合遲滯回線分解圖3-2中各閉合曲線知,聯軸器中的阻尼成分非常復雜,有可能是多種阻尼的組合,根據聯軸器彈性元件變形及工作情況,可以認為聯軸器阻尼含有粘性阻尼和干摩擦阻尼的成份較多,因此,在這種情況下我們建立以下二種阻尼力模型:
(1)復合型阻尼力模型
(3-14)
式中第一項代表除粘性阻尼力和干摩擦力以外的其它阻尼力成份,系數a決定這些阻尼力所占比例,故定義為阻尼比例控制系數;第二項代表粘性阻尼力和干摩擦阻尼力綜合阻尼力成份,當n=o時,這項為Csgn(
),代表干摩擦阻尼力,當n=1時,這項為C|
|sgn(
),代表粘性阻尼力,當n在(0,1)區間變化時,第二項代表的是粘性阻尼力和干摩擦阻尼力的混合阻尼力,系數n決定兩種阻尼各占份額多少,定義為粘摩阻尼分配系數。式中a0,a2,a4,a6,C,n和a均是振幅的函數。
(2)等效粘性阻尼力模型
用等效粘性阻尼來描述遲滯非線性阻尼,其恢復力構建為:
2=C(A,ω)
(3-15)
由于聯軸器阻尼成份的復雜性,以上建立的二種阻尼恢復力模型中哪一種用來描述聯軸器阻尼力更為合理,有待于參數辨識后才能確定。對于模型(3-14),我們將先辨識出在不同振幅下模型中的各個參數,然后再找出這些參數與振幅的函數關系。對于模型(3-15),我們將根據一個振動周期內遲滯非線性阻尼所耗散的能量與等效粘性阻尼所消耗的能量相等的能量關系找出等效粘性阻尼函數C(A,ω)與振幅和頻率的關系。
二、考慮頻率影響的數學模型
在這種情況下,聯軸器的數學模型的表達式為(3-7)式,下面分別討論
l和
2函數表達式的結構形式:
1.非遲滯非線性彈性恢復力
l的數學模型
由試驗研究知道,聯軸器的彈性恢復力不僅是振幅的的函數而且還是頻率的函數,隨著頻率的增大,在一定頻率范圍內,彈性恢復力逐漸減小,然后趨于一定值,根據這一特性,在建造彈性恢復力新的數學模型時,引進一個能描述這一特性的指數函數項e-flr(f),這樣,新構建的彈性恢復力數學模型為:

同時,定義幾個新函數參數,a2i-1(f)為剛度幅值頻率影響系數,它表示聯軸器彈性元件各階剛度的幅值受頻率變化影響的程度;β2i-1(f)稱為剛度幅值頻率衰減系數,表示彈性元件各階剛度的幅值隨頻率增加的衰減程度;y2i-1(f)稱為剛度頻率衰退減系數,表示彈性元件各階剛度隨頻率增加的衰減速率,y2i-1(f)愈大,剛度值隨頻率減小的速度就愈慢,反之,則愈快。從理論上講,只有當f值趨于無窮大時,exp{-f/[ y2i-1(f)]}才趨于零,各階剛度 2i-1(A,f)才趨于各自的定值K2i-1(A)[a2i-1(f)-β2i-1(f)]。但事實上,由于指數曲線開始變化較大,而后逐漸緩慢,所以,實際上f達到一定值后,exp{-f/[ y2i-1(f)]}已經很小了,例如,設f=5 y2i-1(f),這時有:
y2i-1(f)= K2i-1(A)[a2i-1(f)-β2i-1(f)(1-e-5)]
= K2i-1(A)[a2i-1(f)-β2i-1(f)×0.99326] (3-20)
當頻率f=8,10,…,30赫茲時,剛度不再隨頻率的變化而變化,由此可得y2i-1(f)=1,6,2,…,6;a2i-1(f)-β2i-1(f)×0.99326=βc,這些參數值和關系式在辨識(3-19)式中參數時,可作為已知條件應用。
從以上分析可知,(3-18)式表示的數學模型能客觀地反映聯軸器彈性恢復力隨振幅和頻率變化的規律。
2.遲滯非線性阻尼力姚的數學模型
當同時考慮振幅和頻率對遲滯阻尼力
2的影響時,
2將是振幅和頻率的函數,如果經過參數辨識說明(3-14)形式的數學模型能合理地描述阻尼力,那么,在同時計及振幅和頻率對遲滯阻尼力姚的影響時,我們仍建立遲滯阻尼力的數學模型表達式為(3-14)式的形式,不過其中各系數不僅是振幅A的函數而且還是頻率f的函數,建立的第二種數學模型仍以等效粘性阻尼來描述遲滯非線性阻尼,與(3-15)式所不同的是,在此建立聯軸器阻尼耗能的函數時,同時考慮聯軸器遲滯回線面積隨振幅A和頻率f變化的規律,而在建立(3-15)式時僅考慮聯軸器遲滯回線面積隨振幅A的變化規律。為了敘述方便,這些問題在參數辨識一節中討論。這樣,這二種阻尼力模型為:
結上所述,將(3-12)式與(3-18)式比較,將(3-14)~(3-15)式與(3-21)~(3-22)對應式比較可知,后者同時考慮了振幅A和頻率f對聯軸器恢復力的影響,因而適用范圍較前者僅考慮振幅A的影響時更大,但后都數學表達式復雜,大大地增加了參數的辨識難度。由試驗研究知,頻率變化為恢復力影響范圍較小,為了簡化計算用(3-12)和(3-14)~(3-15)較好。
3-4聯軸器數學模型參數辨識
本節將利用試驗數據,根據上節建立的聯軸器恢復力數學模型的類型,分別選用線性參數辨識方法和非線性參數辨識方法,按最小二乘法原理,辨識聯軸器數學模型中的參數,找出各參數與振幅和頻率的關系,得到聯軸器恢復力由彈性和阻尼力描述的函數關系式。
一、參數辨識的難點
聯軸器數學模型函數關系的復雜性以及函數關系式中參數的非線性都給參數辨識工作帶來困難。針對這些情況,對數學模型中某些參數隨振幅和頻率變化規律還不能給出表達式時,我們先求出這些模型在不同振幅和頻率下,各參數隨振幅和頻率變化的離散值,然后根據這些離散值隨振幅和頻率變化的規律,來定出函數表達式,在此基礎上再進一步找出這些參數與振幅和頻率的函數關系,最后得到聯軸器恢復力與振幅、頻率、位移和速度的表達式。
二、參數辨識
1.辨識不考慮頻率影響數學模型的參數
不考慮頻率影響時聯軸器的數學模型為(3-12)~(3-15)式,
a.非線性彈性恢復力
l數學模型中參數的辨識
此中情況下,
l的表達式為(3-12)和(3-13)式。由這兩式可知,模型中含有九階的高次非線性彈性力,其各階動剛度K2i-1 (A)是振幅的函數,數學模型為一個n′階的冪函數多項式,K2i-1 (A)是各參數b0,2i-1~bn,2i-1 (i=1,2,…,5)的線性函數。于是各階動剛度K2i-1 (A)中各參數辨識可歸結以下最小二乘法問題:
已知K2i-1 (A)是關于自變量X=[A,A2,…An1]T和待定參數B=[ b0,2i-1,b1,2i-1,…,bn′,2i-1]T的形式已知的函數(3-13),簡寫成:
K2i-1 (A)=f(X,B) (3-23)
今給出(X,K2i-1 )的n對試驗值:
(XK,K2i-1,K) (k=1,2,…,n) (3-24)
要求確定參數B使
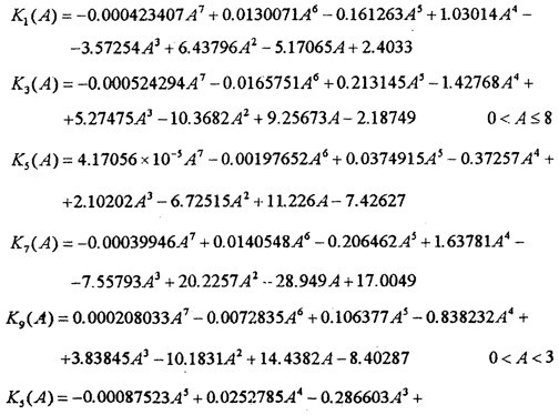
得一組線性方程組,在n>k的情況下,聯立求解這一線性方程組即可求得唯一的一組B值。根據此法求得(3-13)式中參數值并代回可得:


將(3-27)式中剛度函數作成曲線如圖3-3(a)-(e)所示,由一階動剛度函數圖3-3(a)可知,振幅在lmm~2mm范圍內時,動剛度隨振幅增大而增大,呈硬特性;當振幅在2mm~7mm范圍內時,動剛度隨振幅增大而減小,呈軟特性;當振幅在7mm~8mm范圍時,動剛度隨振幅增大略有回升。由此圖可知,在聯軸器初始小振幅和極限振幅附近范圍內,動剛度呈硬特性,而在中間振幅范圍內呈軟特性。K5(A)和K9(A)也具有類似的特性。而K3(A)和K7(A)在小振幅時呈軟特性,這樣的動剛度特性滿足船舶緩沖減振降噪的要求,即在一般低能量風浪流作用下,該聯軸器鋼絲繩元件的變形小,動剛度大,呈硬特性,這能保證船舶推進軸系的基頻高于風浪流的顯著能量頻率;在大能量風浪流和沖擊作用下時,聯軸器由于載荷增大而變形增大,這種情況下動剛度軟化,使船舶推進軸系頻率變小,向遠離大能量風浪流和沖擊顯著能量頻率一側偏移,在遲滯阻尼下耗散能量,使軸系沖擊振動響應降低。由(3-27)式和(3-12)式可作出相應的彈性恢復力單值曲線如圖3-4所示。將圖3-4中代表彈性恢復力的單值曲線與圖3-2中的單值曲線比較可知,(3-12)式能較好地描述聯軸器彈性恢復力隨振幅變化的規律。

b.非線性阻尼力數學模型中參數的辨識
此情況下,建立了二種數學模型(3-14)式和(3-15)式。對于(3-14)式描述的模型,
2是參數n的非線性函數,因此,在進行參數辨識時,需要用非線性參數的辨識方法。此時,這種模型中各參數的辨識可歸結為如下的最小二乘法問題:
已知
2是關于自變量X=[x1,x2,…,sp]T和待定參數B=[b1,b2,…,bm]T的形式已知函數(3-14)式,簡寫成:
2=f(X,B) (3-28)
對于給定的n組試驗數據值(Xk,
2k),要求確定參數B使

為最小。對于這種非線性參數識別,很難直接進行求解,通常采用逐次逼近的方法處理,在此采用高斯-牛頓
法來辨識。高斯-牛頓法的基本思想是:先給出各參數bi的一個初始值,記為 ,初值與真值之差為△i,即有:
bi=
+△i (i=1,2,…,m) (3-30)
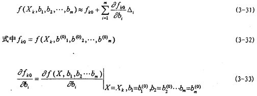
這樣,確定bi,在
鄰域內將函數f(X,B)作代臺勞級數展開,并略去△i的二次及二次以上項得:

當
給定時,fko和
fko/
bi都是自變量X的函數,可直接算出,將(3-31)式代入(3-29)得:

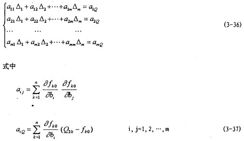
由多元函靈敏極值存在的必要條件:

得以△i為未知量的一組m個聯立方程組

當試驗數據值(Xk,
2k),(k=1,2,…,m)給定后,系數aij及
均可算出,因此由方程組可解出△i,進而得bi的值。當算出的|△1 |值較大的時,可令當前的bi值代替原來的初始近似值
,重復計算aij,
,并解方程組(3-36)得新的△i,進而得bi。這種過程可以重復進行,直至|△i |的值小到給定的精度為止。
對于非線性參數辨識問題,并在不于迭代工作量有多大,而是在迭代逼近過程中是否收斂,即迭代過程有可能不按上述方式完成,出現計算溢出,方程組系數矩陣病態等毛病.出現這些問題的原因大致有三種:一是逼近試驗數據點(Xk,
2k)的數學模型假設與數據點甚遠,在這種情況下,必然重新分析系統的內在機理,建立符合系統特性的新數學模型;另一種是初值
選得不好,臺勞級數展開式完全失真,迭代得到的新bi有可能比原來的
更遠離真解,且越迭代越糟糕,最后發散,在這種情況下,迭代是否收斂,關鍵在于初值
的選擇;第三種是參數辨識的算法不適合或對初值選取的要求太高,在這種情況下,需選擇更合適的算法或選擇對初值選取要求較低的算法。
按照以上算法,編制了計算機軟件對(3-14)模型中的參數進行了辨識,結果討論如下:
對(3-14)模型,用不同振幅下聯軸器試驗數據中代表阻尼力的數據來進行參數辨識,辨識結果是迭代計算不收斂,分析其原因,我們認為,一是因為需辨識的參數較多,初始值不易選得與真值較接近,致使迭代不成功;二是此算法可能不適合此模型的參數辨識。因此,有待于尋找能辨識數學模型表達式中參數的新的有效辨識方法。
第二種模型是(3-15)式,在這種情況下,用阻尼耗能的能量關系來辨識阻尼力與振幅等參數的關系。由圖3-1可知,聯軸器每振動一周所消耗的能量,即遲滯回線的面積S是振幅A的函數。由數值積分,可以算出各振幅變化時遲滯回線面積,由此可得遲滯回線面積與振幅的一一對應關系,將這些一一對應的數據點畫成圖,如圖3-5中大圓點曲線所示,由此分析遲滯回線面積隨振幅變化的規律,可建立其函數關系為:
Sga(A)=asAbs (3-38)
式中as和bs為待辨識參數。由(3-38)可知,面積是參數bs的非線性函數,參數辨識時用非線性參數辨識方法,高斯一牛頓法,辨識結果為as=2.56969,bs=1.62309,代回(3-38)式并畫出曲線如圖3-5中小點曲線所示。由此可以看出,(3-38)式能較好地描述遲滯回線面積(即聯軸器阻尼耗能)隨振幅變化的規律.在用等效粘性阻尼來代替遲滯非線性阻尼的情況下,在具有相同振幅的正弦振動時,每周由等效粘性阻尼力耗散的能量為:
因為Sga=We,由(3-38)與(3-39)可得聯軸器阻尼函數C(A,ω):

將(3-40)式代入(3-15)式得聯軸器阻尼力模型:


值得注意的是此阻尼力模型的參數辨識是在研究阻尼耗能過程中,僅考慮振幅對耗能的影響下得出的,而沒有考慮頻率對耗能的影響,式中頻率項的出現是由于用等效粘性阻尼代替遲滯非線性阻尼所致。將(3-41)式畫成曲線得圖3-4中每橢圓,與圖3-2中的閉合曲線相比較可知(3-41)式較好地描述了遲滯非線性阻尼力。將(3-11)、(3-27)和(3-41)式代人(3-8)式即,得聯軸器恢復力數學模型的函數表達式。
2.辨識考慮頻率影響數學模型的參數
考慮頻率影響時聯軸器的數學模型為(3-17)-(3-22)式。
a.非線性
彈性恢復力Ql數學模型中參數的辨識
此情況下,1的表達式為(3-18)-(3-19)式,由于數學模型中參數辨識的復雜性以及待辨識參數的非線性性,在辨識過程中,先辨識出在不同振幅和頻率下模型中的各參數a2i-1,β2i-1和y2i-1,然后根據這些參數離散散值隨頻率變化的規律,建立它們與頻率之間的函數關系,再辨識這些函數關系式中的各參數,從而得到a2i-1 (f),β2i-1(f)和y2i-1 (f)的函數表達式,最后得到動剛度 2i-1(A,f)隨頻率和振幅變化的數學模型和彈性恢復力教學模型。
我們用高斯-牛頓法的最小二乘法來辨識,辨識結果是迭代計算不收斂,分析原因認為:迭代計算不收斂,一是初值選擇不合理,二是此算法對初值要求太高。盡管如此,但根據對聯軸器非線性彈性恢復力隨頻率變化的規律分析,我們仍認為用(3-18)式來描述聯軸器彈性恢復力
l=(x,A,ω)是客觀的和合理的,式中未知參數的辨識有待于尋找新的有效的辨識算法。
b.非線性阻尼力烏數學模型中參數的辨識
此情況下,建立的數學模型為(3-21)-(3-22)式。對(3-21)式,辨識所用方法和試驗數據與辨識(3-14)式相同,所得結果是迭代計算不收斂,究其原因, 認為是所用辨識算法不適合此模型的參數辨識,同時此算法對初值的要求比較高。
為了解決以上未決的參數辨識問題,我們又用了一種算法,Marquardt算法對(3-14)、(3-18)和(3-21)模型進行了參數辨識,迭代計算仍不收斂。為了解決這一問題有待進一步尋找有效的辨識算法。
對于(3-22)模型,我們用阻尼耗能的能量關系來辨識阻尼力與振幅和頻率的關系。在前面,遲滯回線面積(即阻尼耗能)與振幅的函數關系已建立起來,見(3-38)式,而且式中參數也已辨識出。同樣,用數值積分,可以算出振幅一定,頻率變化時遲滯回線的面積,由此得出遲滯回線面積與頻率的對應關系,將這些對應關系畫成曲線如圖3-6中大圓點曲線所示。由遲滯回線面積隨頻率變化的規律分析,可建立其函數關系為:
Sgf(f)=affbf (3-42)
式中af和bf為待辨識參數。由此式知,面積是參數務的非線性函數,用高斯-牛頓法辨識得af=3.40234,bf=-0.0684433,代回(3-42)式并畫曲線如圖3-6中小點曲線所示。由此可知,(3-42)式能較好地描述遲滯回線面積隨頻率變化的規律,阻尼耗散的能量隨頻率的增大而減小。綜合考慮(3-38)和(3-42)式中阻尼耗散的能量隨振幅和頻率變化的規律可知,阻尼耗能隨振幅的增大而增大,隨頻率的增大而減小,由此可建立聯軸器阻尼耗能(即遲滯回線面積)隨振幅A、頻率f變化的數學模型如下:

式中ag,P,q為待定參數。由此式可知,聯軸器阻尼耗能是振幅和頻率的非線性函數也是參數p,q的非線性函數。在辨識時,采用高斯-牛頓法。根據(3-38)、(3-42)兩式及其參數,可知(3-43)中ag參數的變化域在(2.56969,3.40234)內,q值在1.62309
附近,而p值大約在0.068443附近,據此分析,三個參數的初值分別選為:
=3.0,q(0)=1.0,p(0)=0.1
將這三個初值輸人程序進行運算,一次計算成功,三個參數值為:
ag=3.382818,q=1.451636,p=0.06649397 (3-44)
將這些參數代人(3-43)式即得聯軸器阻尼耗能隨振幅和頻率變化的函數關系式。
根據等效原理(3-34)式和Sg=We以及(3-44) 式可得等效粘性阻尼函數為:
將(3-44)、(3-45)式代入(3-22)式得阻尼力數學模型為


作出(3-46)式的曲線圖如圖3-7中橢圓所示,將圖3-7中橢圓與圖3-4中對應橢圓相比較可知,式(3-46)能較好地描述非線性遲滯阻尼力。
3-5關于聯軸器建模與參數辨識的進一步研究
一、數學建模與參數辨識
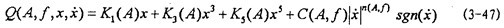
在對前面關于聯軸器建模與參數辨識工作進行思考和對聯軸器試驗結果進行進一步深人分析后,提出聯軸器恢復力數學模型新表達式:

即恢復力
(A,f,x, )是振幅A、激勵頻率f、瞬態位移x和瞬態速度 的函數,或者說恢復力Q是剛度函數K1(A),K3(A),K5(A)和阻尼函數C(A,f)以及阻尼成分函數n(A,f)的函數,其中阻尼成分函數n(A,f)描述阻尼的組成情況,n(A,f)=0時,阻尼為干摩擦阻尼,n(A,f)=1時,為粘性阻尼,0<n(A,f)<1時,阻尼由粘性阻尼和干摩擦阻尼組成,n(A,f)>1時,阻尼成為“高階”阻尼。對于(3-47)式,當振幅與頻率一定時,式中的Kl(A),K3(A),K5(A)和n(A,f)均為定數,當振幅A和頻率變化時,它們均是函數,因此參數辨識實質上是參數函數的辨識。首先我們用非線性參數辨識方法Marquardt法,根據試驗所得的數據,按照(3-47)式對每一遲滯回線進行參數辨識,可以得到對應的K1(A),K3(A),K5(A),C(A,f)和n(A,f)值,對每種工況下的數據隨振幅和頻率變化趨勢進行分析后,可以建立剛度函數、阻尼函數和阻尼成份函數的數學表達式為:


然后用線性參數辨識法和非線性參數辨識法,根據上面已經得到的各個工況下K1(A),K3(A),K5(A),C(A,f)和n(A,f)的數值對(3-48)、(3-49)、(3-50)式中各參數進行辨識,將辨識得到各參數代入(3-48)、(3-49)和(3-50)式得:

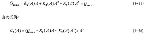
關于K5(A)的辨識采用以下方法:
當位移x達到最大值A時,聯軸器恢復力Q達到最大值,彈性恢復力也達最大值,此時有:

式中K1(A),K3(A)已求得。由試難遲滯回線恢復力最大值與振幅的數據,可辨識出
(3-56)式的
為:
(A)=-5.16965×10-5A7+2.21538×0.0241174A5--0.375207A4+2.55596A3-8.88624A2+8.37136 (3-57)
將(3-51)、(3-52)和(3-57)式代人(3-56)即求得K5(A)。至此,(3-47)式中的各參數函數已全部辨識出。將這些參數代入(3-47)式就得到聯軸器恢復力數學模型。
二、結果分析與比較
由數學模型(3-47) 計算可以得到不同激勵頻率和振幅下聯軸器恢復力遲滯回線數據,為了證實(3-47)的正砷性,下面畫出頻率為1赫茲、振幅為1~8毫米各工況下數學模型計算的理論數據和試驗數據表示的遲滯回線圖,如圖(3-8)(a)~(h)(見51~52頁)所示,圖中虛線為理論回線,實線為試驗遲滯回線。從圖中可知,理論遲滯回線十分接近試驗遲滯回線,由此可以說明建立的聯軸器數學模型(3-47)式可較好地描述恢復力隨振幅A頻率f、瞬時位移x和速度分變化的規律,較圓滿地解決了聯軸器恢復力建模與參數函數辨識的難題。

為了進一步分析聯軸器的阻尼特性并與用擬合分析解法和阻尼等效原理建立的數學模型(3-12)、(3-13)、(3-14)作比較,畫出由數學模型(3-47)式分別描述的彈生恢復力
1和阻尼力
2的曲線圖,如圖(3-9)(a)~(h)所示,圖中單值曲線為彈性恢復力
1。雙值閉合曲線為阻尼力
2。



(1).從圖3-9(a)-(h)中可以看到:雙值閉合曲線的形狀隨振幅的增大,從橄欖形變成橢圓形,再變成棒槌形。說明聯軸器的阻尼成分不是單一的,而是多種阻尼的組合,這些阻尼在不同的振幅下出現的大小比例不同,振幅為1毫米時,見圖3-9(a)圖,“高次”阻尼成分較多,而干摩擦阻尼和粘性阻尼成分較少,這時阻尼力閉合曲線的形狀呈橄欖形,這是因為振幅較小時,聯軸器彈性元件中的鋼絲繩股與股之間所受的力和位移都較小,還沒有產生相對滑移。隨著彈性元件受力增加、位移增加,鋼絲繩股與股之間的摩擦力增大,局部出現滑移,這種狀態下,聯軸器的阻尼成分以粘性阻尼為主,摩擦阻尼次之,閉合曲線,即阻尼力曲線的形狀呈橢圓形,振幅為2-4毫米。見圖(3-9)(b)~(d),隨著聯軸器受力的進一步增大,位移隨之增加,鋼絲繩股與股之間出現大的相對滑移,阻尼力曲線的形狀呈棒縋形,介于橢圓與矩形之間,但更加接近矩形,這說明此種情況下,聯軸器的阻尼成分以干摩擦阻尼為主,粘性阻尼為次,振幅介于5-8毫米之間,見圖(3-9)(e)~(h)。
(2).表3-1列出阻尼成分函數n(A,f)在1赫茲時,隨振幅變化的數值,對應于圖3-9中各閉合曲線。
從表中可以看出,當n(A,f)>1時,阻尼成分以“高次”阻尼為主,阻尼力曲線呈橄攬形;當0.6<n(A,f)<l時,阻尼成分以粘性阻尼為主,阻尼力曲線呈橢圓形;當0<n(A,f)<0.6時,阻尼成分以干摩擦為主,粘性阻尼次之,阻尼力呈棒縋形;當n(A,f)=0時,阻尼成分將變成純粹的干摩擦,由n(A,f)的值變化可知,產生這種情況的可能性很小。由此可以知道,阻尼成分函數n(A,f)控制阻尼力曲線的形狀。
(3).從圖3~9中各圖可知:阻尼力的大小隨振動位移x變化而變化,實質上阻尼力的大小隨振動速度 的大小變化。在x等于零時,速度 最大,所以,阻尼力的絕對值達到最大,在位移x為振幅值A時,速度為零,阻尼力零。
(4).表3-2列出阻尼函數C(A,f)在1赫茲時,隨振幅變化的數值,對應于圖3-9中各閉合曲線。從表中可知:隨著振幅A的增大,阻尼函數隨之增大,這說明了聯軸器的阻尼耗能隨振幅增大而增大的原因。
表3-1 阻尼成分函數n(A,f)控制阻尼力曲線的形狀。
|
A(mm) |
1 |
2 |
3 |
4 |
|
n(A,f) |
1.376734 |
0.9397465 |
0.7516245 |
0.6414627 |
|
A(mm) |
5 |
6 |
7 |
8 |
|
n(A,f) |
0.5672612 |
0.5130523 |
0.4712813 |
0.4378568 |
表3-2 阻尼函數C(A,f)隨振幅A變化表
|
A(mm) |
1 |
2 |
3 |
4 |
|
C(A,f) |
6.814558×10-2 |
1.351919×10-1 |
2.018296×10-1 |
2.682031×10-1 |
|
A(mm) |
5 |
6 |
7 |
8 |
|
C(A,f) |
3.34811×10-1 |
4.004035×10-1 |
4.662969×10-1 |
5.3208×10-1 |
將數學模型(3-57)與數學模型(3-12)、(3-13)、(3-41)進行比較,可知:
(1).數學模型(3-57)中的彈性恢復力模型中有三個剛度函數,而數學模型(3-12)中的彈性恢復力模型中有五個剛度函數,因此前者較后者簡單,但精度不如后者。
(2).數學模型(3-57)中的阻尼力中由于引入了阻尼成分函數n(A,f),因而該阻尼力模型能揭示聯軸器阻尼成分的組成和變化規律;而數學模型(3-41)中的阻力模型是在阻尼等效原理的基礎上建立起來的,因而不能描述聯軸器中復雜的阻尼成分。由此可見數學模型(3-57)和數學模型(3-12)(3-13)(3-41)各自有自己的優點和不足,后者能較好地描述動剛度,前者能較好地描述阻尼。
(3).數學模型(3-57)在參數辨識時,采用的方法是整體辨識法,即將聯軸器的彈性恢復力和阻尼力中的各未知參數放在一起進行辨識,由于一次需辨識的參數較多。若再考慮K7(A),K9(A),將使辨識難度大大增加,故在(3-57)模型中只考慮了K1(A),K3(A),K5(A)。而數學模型(3-12)(3-13)(3一41)的參數辨識,采取的方法是擬合分解法,即將聯軸器的恢復力分解成彈性恢復力和阻尼力兩個式子,分別對其未知參數進行辨識。
在后面的幾章中,為了計算簡便些,將采用數學模型(3-12)(3-41)。
3-6小結
本章在鋼絲繩彈性聯軸器振動試驗數據進行分析和處理的基礎上,圍繞聯軸器的建模和參數辨識作了以下工作:
(1)在Ko等人工作的基礎上,發展了一種用于非線性遲滯特性系統研究的擬合分解法。用此法將聯軸器非線性恢復力遲滯回線擬合分解成兩部分:非遲滯非線性彈性恢復力和純遲滯非線性阻尼力,為分別研究非線性彈性恢復力和非線性阻尼力的特性創造條件,并將Ko法只能辨識三個階次動剛度的方法發展為能辨識五個或更多個階次動剛度,為描述大位移強非線性的遲滯特性提供了可行的方法。
(2)針對聯軸器動剛度和阻尼是振幅和頻率的非線性函數,但當頻率增大到一定值后,動剛度和阻尼僅為振幅的非線性函數的特點,分別提出了不受頻率影響和受頻率影響的非線性彈性恢復力數學模型和非線性阻尼力模型(3-11)、(3-14)式和(3-18)、(3-21)式。根據對聯軸器非線性遲滯回線隨振幅和頻率變化規律的分析,認為提出的數學模型能較合理和客觀地描述非線性彈性恢復力和阻尼力的變化規律。
(3)研究了聯軸器阻尼耗能特性,提出了阻.尼耗能僅受振幅影響和同時受振幅與頻率影響的數學模型(3-38)和(3-43)式。在對聯軸器非線性遲滯回線面積(即阻尼耗能)進行數值積分的基礎上,經過非線性參數辨識,得出了(3-38)和(3-43)模型中的各參數。從而得到了聯軸器阻尼耗能隨振幅的增大而增大,隨頻率的增大而減小的函數關系式。
(4)以聯軸器非線性阻尼耗能研究為基礎,根據阻尼等效原理,研究并建立了聯軸器阻尼僅受振幅影響和同時受振幅和頻率影響的數學模型(3-40)和(3-45),經過參數辨識得出了模型中的各參數,由此弄清楚了聯軸器阻尼隨頻率和振幅變化的規律,在此基礎上,建立了聯軸器非線性阻尼力的數學模型(3-41)和(3-46)式。
(5)對不受頻率影響的非線性彈性恢復力數學模型(3-11)式中的參數進行辨識,得出了五個動剛度函數的表達式(3-27),分析表明,聯軸器的動剛度具有剛度軟化的特性,這一特性對防沖減振降噪有利。
(6)對不受頻率影響的非線性阻尼力數學模型(3-14)式和受頻率影響的非線性彈性恢復力數學模型(3-18)及(3-21)式進行了辨識,由于辨識算法的不合適,未能辨識出各參數,為了解決此辨識問題,有待于尋找新的和有效的辨識算法。對聯軸器非線性遲滯特性的分析后,仍認為(3-14)、(3-18)和(3-21)式能合理地描述聯軸器非線性彈性恢復力和阻尼力。由于頻率影響范圍很小,在實際計算中,用非線性彈性恢復力數學模型(3-11)、(3-27)式和非線性阻尼力數學模型(3-41)是完全可行的。
(7)對聯軸器試驗結果和前面關于聯軸器建模與參數辨識工作進行進一步深人分析后,提出了聯軸器恢復力新數學模型(3-47),采取未知參數整體辨識法,用Marquardt非線性參數辨識方法,成功地辨識出了式(3一47)中各參數。模型(3-47)的優點是阻尼成分函數n(A,f)的引人使得它能全面地揭示聯軸器中的阻尼情況。