推桿減速器的結構分析與齒形綜合
本章根據推桿減速器的結構特征,找出了推桿內外滾子工作角之間的關系。這種關系不僅適用于激波器廓形為偏心圓的單激波推桿減速器結構,而且也適用于激波器廓形為非圓弧曲線的多激波推桿減速器。利用內外滾子工作角之間的關粵和法向等距線的幾何性質,首次分析研究了激波器廓形為任意形狀非圓弧曲線的多激波推桿減速器的齒廓形成理論,與傳統的包絡法相比,具有概念清晰,所得公式形式簡單的特點,通過實例計算,證明了激波器為偏心圓的推桿減速器,其內齒圈齒廓曲線不是擺線這一重要結論。
2.1推桿減速器的結構及傳動比計算
推桿減速器的結構簡圖如圖2.1所示,它由四個部分組成:
1.激波器J 由輸入軸1、偏心套2、轉臂軸承3所組成。為平衡激波器所產生的慣性力和抵消激波器上的徑向力,一般采用雙排結構,并使它們的相位差為180°。
2.傳動圈C 傳動圈是一個具有雙排等分槽的構件,它與輸出軸固聯。
3.裝有內外滾子的推桿 內外滾子一般是短圓柱滾子。
4.內齒圈N 內齒圈的齒形是與運動的推桿外滾子相共軛的曲線。與激波器對應,采用兩個完全相同的內齒圈互成180°布置。
推桿減速器的工作原理為:當驅動力矩由輸入軸輸入后,它以等角速度、轉動,帶動偏心圓激波器繞固定中心。轉動,由于偏心圓激波器徑向尺寸的變化,激波器產生徑向推力,推動著推桿在傳動圈的徑向導槽內向外移動。推桿的徑向運動受到固定于機座上的剛性內齒圈的約束,作用于推桿外滾子上的約束反力迫使推桿驅動具有導槽的傳動圈以等角速度ωC轉動,于是實現了定速比的速度變換及功率的傳遞。
在推桿減速器中,設激波器按順時針方向旋轉,則傳動圈C,內齒圈N的轉向可能與激波器相同,也可能相反(圖2.2)。為了研究問題的方便,本文中稱傳動圈與主動件激波器轉向相同的結構為正向結構(圖2.2(a)),稱傳動圈與激波器轉向相反的結構為反向結構(圖2.2(b))。
推桿減速器的正反向結構形式完全取決于內齒圈N的齒數ZN、理論推桿數ZC以及激波器J的激波數ZJ。
對單激波來說,當理論推桿數ZC比內齒圈齒數ZN多1(即ZC=ZN+l)時,推桿減速器為正向結構(如圖2.1(b)所示)。而當推桿數ZC比內齒圈齒數ZN少l(即ZC=ZN-1)時,推桿減速器是反向結構(如圖1.5所示)。當推桿數ZC等于內齒圈齒數ZN時,機構不能工作,而當推桿數ZC與內齒圈齒數ZN之差在1以上(即ZC>ZN+1或ZC<ZN-1)時,機械也不能工作。
類似分析可得出結論:對于多激波推桿減速器,要使機構能夠工作,齒數關系必須滿足:
ZC=ZN±ZJ (2.1)
并且ZN應是ZJ的整數倍。當式(2.1)取“+ ”號時,推桿減速器為正向結構,取“一”號時為反向結構。
固定激波器J、傳動圈C、內齒圈N這三個構件中的任何一個,而其余兩個構件的角速度之比稱為這兩個運動構件的傳動比。傳動比用i表示,并用下標表明相應兩個運動構件及其主從關系。如iCN表示激波器J固定時,傳動圈C的角度速度與內齒圈N的角速度之比值。當這兩個角度速成方向一致時,傳動比取正值,反之傳動比取負值。
利用行星齒輪傳動中確定傳動比的相對角速度法,很容易得到各種運動形式的傳動比,如表2.1表示。
上面所說的推桿數ZC是理論上的推桿數,在工程實際中,當推桿減速器要實現的的傳動比較大時,在傳動圈的圓周上不能夠開出理論推桿數ZC那么多的導槽,常采用“抽桿”技術,即每隔一定的間隙,抽掉一個或幾個推桿,抽桿后當然不能影響整個傳動機構的連續運轉及傳動比。
抽桿后,機構的實際推桿數

要小于理論推桿數Z
C。為了保證抽桿后受力均衡,要求抽桿是均勻的,抽桿前后推桿都是均布的。設n為每隔一個推桿所抽掉的推桿數,則實際推桿數

與理論推桿數Z
C的關系應為:
從推桿減速器的結構及工作原理可以看出,由于激波器采用了滾動軸承,使得與內滾子相嚙合接觸的激波器外環在工作過程中只是擺蕩,從而減小了與內滾子相嚙合時的滑動摩擦。另外,只要能使外滾子轉動靈活,內齒圈齒廓與外滾子之何的滑動摩擦也可變得很小。可見,推桿減速器中滑動摩擦以推桿與導槽之間最為嚴重。
工程技術人員在實踐中圍繞著傳動圈的結構提出了不少改進方案。一種想法是在推植與導槽之間加放滾針,軌圖2.3所示,使移動副轉換成通過滾動體接觸的滾動副。但由于實際生產中工藝上的原因,這種方法沒有被采用。
圖2.4所示是推桿與導槽所構成的移動副的另外幾種形式,它們也未能很好地解決移動副所帶來的滑動摩擦問題。
當把推桿去掉,內外滾子合而為一時,便是滾柱活齒減速器的結構。還可以將激波器設計成內工作輪廓,內齒圈設計成外齒輪(波形輪),這種結構稱為外波式活齒傳動結構。
2.2內齒圈齒廓的法向等距線及性質
取固定坐標系(o,x,y)及分別與激波器和內齒圈固聯的坐標系(o,xJ,yJ,)和(o,xN,yN),如圖2.5所示,它們在初始位置是重合的。
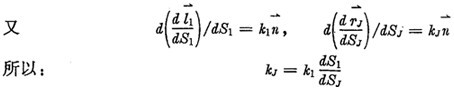
設以yJ為坐標極軸,激波器J的廓形HJ的表達式為TJ=TJ(θ),則內滾子中心01的軌跡H1是這樣形成的:設HJ上任意一點M1處的單位法線向量為 ,在法線上,取長度Tz(Tz等于滾子半徑),得一點O1,則這個點就在H1上,這樣逐點形成的H1 與HJ是法向等距線,它們在對應點有共同的法線。證明如下:
這表明,H
1在0
1點處的切線向量

與

垂直,即 既是H
J在M
1點的法線,又是H
1在0
1點的法線,得正。
下面再推導一下齒廓及其法向等距線的相對曲率關系。設HJ的孤長參數為SJ,相對曲率為kJ,而H1的孤長參數為S1,相對曲率為k1,由微分幾何可得:
最后得到法向等距線在對應點的相對曲率關系為:
kJ=k1/(1-Tzk1) (2.3)
相對曲率半徑關系:
PJ=P1-Tz (2.4)
內齒圈的齒廓HN與外滾子中心的軌跡H2也是法向等距線,它們在對應點也有共同的法線,相對曲率與相對曲率半徑也有和上面類似的關系。
2.3內外滾子工作角之間的關系
設在某一時刻,激波器與內滾子相切接觸在M1點,內齒圈齒廓與外滾子相切接觸在M2點,如圖2.5所示,則圖中a1與a2分別叫做內外滾子工作角。在工作行程,al及a2都為正值,在非工作行程,它們都為負值。
上面已說過,內滾子中心的軌跡H
1是激波器廓形H
J的外法向等距線,激波器按順時針方向轉動時,H
1是一條以轉角

為參數按逆時針方向生成的有向曲線,設其方程式為:
ι
1=ι
1(

)
由微分幾何知,曲線Hl的向徑與切線正方向的夾角μ1可由下式計算:
切線的正方向應取與曲線極角的計量方向一致,當

大于零時,μ
1在0至π/2范圍內取值,當

小于零時,μ
1在π/2至范圍內取值。
由(2.5)式可得:

(2.6)
如圖2.5所示,設激波器相對傳動圈順時針轉過

動圈反方向轉過了

角(對于反向結構,內齒圈則相對傳動圈按與激波器轉向相同的方向轉過

角,見圖2.6)。
外滾子中心0
2的軌跡H
2是內齒圈齒廓的內法向等距線,它可以看作是一條以

為參數按順時針方向形成的有向曲線(對圖2.6所示反向結構,H
2是一條按逆時針方向形成的有向曲線H
2的方程為:
ι
2=ι
2(

)=ι
1(

)+ι (2.7)
將

與

分別作為上述有向曲線H
1及H
2的參數,無論對于正反向哪種結構,

隨著

的增加而增加,并有關系式

(2.8)
同樣,由微分幾何,曲線H2的向徑與切線正方向的夾角μ2可由下式計算:
分析圖2.5及圖2.6可知,當μ
1及μ
2的取值在

范圍內時,a
1及a
2為正值,當μ
1及μ
2的取值在

范圍內時,a
1及a
2為負值,故恒有下面的式子成立:
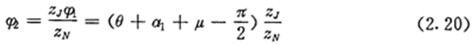
2.4.1內齒圈的齒廓方程
為了提高加工精度及降低成本,推桿內外滾子通常選用半徑相等的短圓柱滾子標準件,這樣,對激波器廓形和內齒圈齒廓兩條曲線只要知道其中之一,便可根據機構傳動比、推桿長度及滾子半徑來確定另外一條曲線。
設選定激波器廓形為T
J=T
J(θ),按通常的極坐標表示法,θ增加的方向為逆時針方向。由激波器廓形方程便確定了激波次數Z
J。設激波器相對傳動圈從初始位置順時針轉過了

角,對正向結構,內齒圈相應地相對傳動圈逆時針轉過了

角(圖2.5),對于反向結構,內齒圈相應地相對傳動圈順時針轉過了

角(圖2.6),由圖可得:

(2.17)
上式中的μ為曲線H
J在M
1點的向徑與切線正方向的夾角。前面已說過,曲線向徑與切線正向的夾角μ的取值范圍是[O,π]。在用計算機解算時,反正切函數arctg(x)的值域是(-

),所以為了使概念明確和使用方便,特定義下面在本文中使用的函數:
上式中TJ(θ)表示極徑,其值當然為正。
這樣(2.17)式中的μ可表示為:
由圖2.5(或圖2.6)中的△OM1O1還可得
按關系式(2.16)可計算出外滾子工作角a2
而
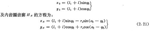
對于圖2.5所示正向結構,在與內齒圈固聯的坐標系中,得到外滾子中心軌跡H2的方程為:
對于圖2.6所示的反向結構,在坐標系(0,x N,y N)中,得到內齒圈齒廓的方程為:
每給定一個θ值,由激波器廓形方程式計算出T
J, 接著計算

及μ,然后把由(2.17)式算出的ι
1的值和由(2.19)式算出的a
1的值代入(2.16)式,可算出相應的a
2,由式(2.20)便可得到

,最后把這些值代入(2.21)式(反向結構代入(2.22)式),便可得到內齒圈齒廓上相應的一個點M
2的坐標值(x
N,y
N)。當θ在激波器的一個周期內取一系列點時,相應的M
2點描繪出內齒圈齒廓上一段工作齒廓與非工作齒廓曲線的圖形。
由上面可以看出,在選定激波器廓形TJ=TJ(θ)的情況下,正反兩種結構所得到的內齒圈齒廓方程式(2.21)與式(2.22)在形式上是不同的。對于反向結構,用-θ代換激波器方程中的θ,即令TJ=TJ(-θ),則θ增加的方向為順時針方向,若激波器廓形可表示為偶函數,即TJ(一θ)=TJ(θ),讓激波器按逆時針方向轉動,則所得的內齒圈齒廓方程式完全與(2.21)式相同。因而齒廓方程式(2.22)與式(2.21)雖然形式不同,但實質是一樣的。區別在于參數吸的取值方向,今后以式(2.21)作為內齒圈齒廓的標準形式。
2.4.2內齒圈齒廓的曲率及曲率干涉的校核
內齒圈齒廓曲線上某點的曲率,表示該點附近齒廓曲線的彎曲程度,反映了齒廓曲線的幾何特性,是研究機構性能的重要參數。前面說過,內齒圈的齒廓HN與外滾子中心軌跡H2是法向等距線,它們在相應點的曲率有一定的關系,所以要求HN的曲率,可以先求出外滾子中心軌跡H2的曲率。
根據微分幾何,外滾子中心軌跡H2的相對曲率k2可由下式計算:
由(2.5)式可得:
這樣,由(2.24)式便可得到在外滾子中心軌跡上與激波器任一角度θ對應點的相對曲率k2,而內齒圈齒廓HN上對應點的曲率kN為
在對應于內齒圈的齒頂部分,當曲線H2的最小曲率半徑Pmin小于或等于滾子半徑時,即Pmin≤TZ時,則內齒圈齒廓曲線HN在齒頂處發生交叉,結果使齒頂變尖,稱這種現象為頂切。頂切將使機構的傳動特性受到影響,使同時參加工作的推桿數目降低。由(2.24)式可計算出曲線H2在對應于齒頂處的相對曲率k2a,不發生頂切的條件為:
另外,當選用半徑為Td的刀具加工內齒圈齒廓時,在齒根處可能發生切削干涉(過渡切削)。同樣由式(2.24)可計算出曲線H2在對應于齒根處的相對曲率kZ 了,齒廓曲線HN在齒根處的相對曲率kNf為:
2.4.3 激波器為偏心圓的機構目前見到的推桿減速器,其激波器廓形都為偏心圓。設激波器廓形的半徑為Tb,偏心距為e,由于接觸點的法線01M1必然通過偏心圓的幾何中心,如圖2.7所示,所以不需要列出激波器廓形的方程,而直接從幾何關系就能計算出滾子工作角。
將它們代入(2.19)式,便得到(2.37)式。可見前面所得到的多激波計算公式對激波器為偏心圓的單激波也同樣適用。在單激波情況下,內外滾子工作角之間的關系簡化成了:
式(2.36)、(2.37)、(2.38)是偏心圓激波器的推桿減速器中ι
1、a
2與

的基本關系式,后面常用到它們。
代入(2.24)式及(2.21)式就可求得H2的曲率及內齒圈齒廓HN的方程。
當ι=0 時,內外滾子合而為一,這時的推桿活齒傳動機構成了滾柱活齒傳動機構,所以上面的各公式對滾柱活齒傳動機構也適用,只需將其中的ι=O即可。
2.5由內齒圈齒廓反求激波器廓形
設選定內齒圈齒廓H
N的方程為T
N=T
N(θ),θ 增加的方向為逆時針方向,當內齒圈N相對傳動圈轉過角度

時,對應于激波器相對傳動圈轉過的角度為

,如圖2.8所示。設此時H
N與外滾子在M
2點接觸,同樣由微分幾何,內齒圈齒廓曲
2.6 應用舉例
設選定推桿減速器內齒圈齒廓為一外擺線,其方程為:
取e=5mm,z1=11,R=120mm,用外擺法形成此曲線時,R表示基圓與發生圓半徑之和,e表示定點離發生圓圓心的距離。取推桿長度ι=36mm,滾子半徑Tz=10mm,求單激波時的激波器廓形。
由z1=11知內齒圈為11個齒,即zN=11。將擺線化成極坐標方程就是
上式中:
每給一個t值,按上述式子可算出相應的T
N及θ,經(2.40)式可算出μ, 然后由式(2. 41)、(2. 42 )、(2.43)和(2.45)算出相應的ι
2、a
2、a
l及

。最后由式(2.47)可算出激波器廓形H
J上對應點的坐標值。一些點的計算數據如表2.2所示,由計算機繪出的激波器廓形如圖2.9所示,它并不是一個標準的圓,圖中圓的上部稍微有點凸出。由解的唯一性可推知,激波器為偏心圓的推桿減速器,其內齒圈廓形一定不是擺線,雖然形狀相似,其實二者是不同的,這已為工程實際所證實。
表2.2 激波器廓形的計算值
|
t° a°2 a°1 xJ yJ |
|
0.000000 0. 000000 0.000000 0.000000 63.166667
30.000000 23.650020 3.409274 -16.120000 60.433124
60.000000 31.001688 4.711771 -33.691177 50.604335
90.000000 28.389094 4.291084 -50.008323 30.005329
120. 000000 20.971822 3.086500 -55.717625 -2.549328
150. 000000 11.056220 1.591049 -38.800958 -37.372742
180. 000000 -0.0000000 -0.000000 -0.000000 -53.166667
210. 000000 -11.056620 -1.591049 38.800958 -37.372742
240. 000000 -20.971822 -3.086500 55.717652 -2.549328
270. 000000 -28.289094 -4.291084 50.008323 30.005392
285. 000000 -30.519488 -4.69190 42.427781 41.871237 |