管道開裂射流場的數值模擬
本章利用已有的流場求解程序,通過有限體積法求解氣體動力學基本方程。文中對開裂后的高壓輸氣管道氣體逸出引起的可壓縮高速自由射流流場進行了數值模擬,得到了作用于管壁的分布氣體壓力和管道內外氣流場的特征參數。
本章數學符號獨立,與其他章節沒有繼承關系。
5.1湍流場的數值模擬方法
5.1.1直接數值模擬(DNS)
直接模擬方法即不引入任何湍流模型,通過高精度、低色散、低耗散的差分格式求解完整的非定常N-S方程,對湍流的瞬時運動進行直接的數值模擬。
這種方法的優點是:方程本身是精確的,僅有的誤差只是由數值方法引入的誤差;數值模擬可以提供每一瞬間所有流動量在流場上的全部信息。
但是,湍流的直接數值模擬一直受到計算機速度和容量的限制。它的難點及存在的問題主要有:計算量十分巨大;流動平均量一般要比擾動量大幾個量級。求解時,由于差分格式存在截斷誤差,從而可能將真實擾動量淹沒掉。
理論上,直接數值模擬是射流流場數值模擬最精確的方法,但由于該方法計算量巨大,對計算機的計算能力有很高的要求,目前的計算機性能還不能夠滿足復雜流動的直接數值模擬的要求,利用直接數值模擬求解射流流場問題還沒有見到和實驗結果進行比較的文獻。
5.1.2大渦模擬(LES)
大渦模擬的基本思想是把包括脈動運動在內的湍流瞬時運動通過某種濾波方法分解成大尺度運動和小尺度運動兩個部分。大尺度量要通過數值求解運動微分方程直接計算出來;小尺度運動對大尺度運動的影響將在運動方程中表現為類似雷諾應力一樣的應力項,稱之為亞格子雷諾應力,它們將通過建立模型來模擬。
大渦模擬的最主要的困難不在于計算機的限制,而是大渦模擬方法本身。例如,現有的亞格子應力模型還很不完善,特別是近壁區內的模型以及邊界條件的提法等等都是急待解決的問題。使用該方法進行射流流場的數值模擬也還在探索之中。
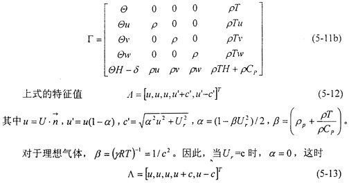
5.1.3湍流模型理論
湍流模型理論在射流流場的數值模擬中已經取得了較好的應用,目前人們已經廣泛的應用湍流模型理論對射流的流動進行分析,并取得了很大的進展。
所謂的湍流模型理論就是以雷諾平均運動方程為基礎,依靠理論與經驗的結合,引進一系列模型假設,建立一組描寫湍流平均量的封閉方程組的理論計算方法。目前,在射流流場的數值模擬中常用的湍流模型有B-L混合長模型,S-A一方程湍流模型,RNGK-ε方程湍流模型,雷諾應力湍流模型等。
在湍流模型的選擇方面:
AndrewT.T.和ChistopherK.W.T.(1996)應用修正的k-ε二方程湍流模型計算了軸對稱及方形、橢圓形噴嘴的自由射流,馬赫數為0.4~2,計算結果與實驗值進行了比較,吻合較好:
EghlimiA.和SahajwallaV.(1999)分別采用了k-ε湍流模型、RNGk-ε湍流模型、Realizek-ε湍流模型和雷諾應力湍流模型對軸對稱的亞聲速自由射流進行了數值模擬。通過計算值與實驗值的比較,可以發現除了標準的k-ε湍流模型對軸對稱的亞聲速自由射流流場數值模擬的結果與實驗值有較大偏差外,采用其他三種湍流模型計算結果與實驗值都吻合得比較好;
NASA的ReddyD.R.,SteffenC.J.,ZamanK,B.M.Q.(1999)應用S-A湍流模型對三維方形噴嘴自由射流進行了數值模擬,計算結果表明,在超聲速流動下,計算值與實驗值吻合較好,在亞聲速流動時偏差較大。
5.2 S-A湍流模型
根據流場數值計算領域已有的研究經驗,結合本文問題的性質,在大量試算的基礎上,本文選擇了S-A湍流模型。這一節介紹該模型的原理。
S-A湍流模型是Spalart和Allmaras在1992年提出的一方程湍流模型,具體描述如下:
湍流運動粘性系數

滿足輸運方程
S-A湍流模型常用于大梯度、近壁的氣體流動的數值模擬,在渦輪機械、高速氣體流動等方面的計算中有著廣泛的應用。
5.3N-S控制方程
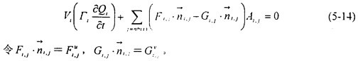
非定常可壓縮的射流滿足如下的積分形式的N-S方程:
上式中,Ω是控制體,

Ω是控制體邊界面,W是求解變量,F是無粘通量,G是粘性通量。
式中P為密度,

表示速度,E為總能,

分別為沿x,y,z方向的單位矢量。

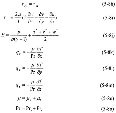
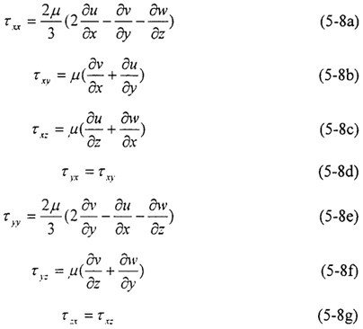
為粘性應力項,

是熱通量。
將以上各項寫成分量形式:
其中μv是分子粘性系數,μt是湍流粘性系數,Prv是分子普朗特數,Prt是湍流普朗特數。
為了便于粘性通量的計算,采用原始變量

為變量,

定義為
5.4非結構性網格
相對于結構性網格而言,非結構性網格能夠更有效的適應形狀不規則、邊界彎曲的復雜領域,以及依據不同的分辨率要求,分配求解域內的網格。特別是三角形網格(對于二維問題)和四邊形網格(對于三維問題)。
5.4.1非結構性網格的特點
在結構網格中,網格點總是分布在某種坐標變換后的坐標線上,在拓撲上是規范的(個別變換的奇點除外),而非結構性網格則不要求拓撲上的規范性。
非結構性網格的網格點在空間的分布比較自由,不要求每個網格點具有相同數量的鄰點,每一個網格點參與構成的單元數量也可以互不相同,網格點之間的連接不再具有方向性。在非結構性網格的劃分中沒有網格線的概念,因而能夠更為有效地適應形狀不規則、彎曲邊界的復雜領域,以及依據不同的分辨率要求,分配求解域內的網格。非結構性網格的劃分問題都直接在物理平面(或物理空間)中討論。
以三角形單元網格為例,互相靠近的不在同一直線上的三個網格點(內點或邊界點),均可以相互連接而構成一個計算單元,只要在這個三角形內部以及其邊上,沒有其他的網格點。
5.4.2非結構性網格的數值求解方法
非結構性網格的數值求解方法通常必須采用有限體積法建立差分方程。
有限體積法是介于有限差分法和有限元法之間的一種計算方法,它針對一個有限體積的單元體,通過差分離散建立差分方程。由于非結構性網格的網格劃分更接近于有限元的網格劃分思想,直接采用微分方程出發的差分方法很不方便,而必須采用從積分型方程出發。本文5.5節有詳細的介紹。
5.4.3非結構性網格的生成
非結構性網格的生成大致可分為兩大類:兩步法和一步法。
兩步法就是將非結構性網格的生成分為兩個步驟完成,第一步是在求解域內生成網格點:第二步是把邊界上的網格點和內部已生成的網格點,連接成合適的三角形網格劃分;
一步法則把網格點的生成與三角形單元的形成統籌考慮,在生成網格點的同時考慮連接關系,而在考慮三角形的連接時,又同時考慮網格點的增刪,這類工作的代表是Delaunay方法。對于三角形網格單元,每個三角形越接近于正三角形時,網格的素質越好。
本文中的非結構性網格的生成是通過網格生成軟件包GAMBIT來實現的,采用的是Delaunay方法。
5.5有限體積法求解過程
采用有限體積法,控制體選取為網格單元,將物理量置于網格單元中心,如圖5-1所示。
對方程(5-10)在單元i上積分,有
(5-14)式中,nb(i)表示單元i的相鄰單元數,下標“i,j'”表示單元i和單元j的交界面,

表示界面(i,j)處的無粘通量,

表示界面(i,j)處的粘性通量,

表示界面(i,j)的外法線單位矢量。
在三維的情況下,V
i為單元i的體積,A
i,j為界面(i,j)面積:在二維的情況下,V
i為單元i面積,A
i,j為界線(i,j)長度;Γ
i表示單元i的Jacobian矩陣Γ。
5.5.1無粘通量

的確定
確定無粘通量只愁的方法較多,大體上可以分成兩大類。
一類是中心型格式,這類格式需要加入人工粘性來抑制間斷附近的非物理振蕩,因此,對于這類格式必須較好的控制人工粘性系數,這帶有相當大的人為性,并且難于找到普適的人工粘性系數,因此很不方便;
另一類是迎風型格式,應用的較為廣泛的有TVD,ENO和NND等格式。非結構性網格上的TVD和ENO格式在求解Euler方程的時候,取得了較大的成功,但在粘性流體計算中需要借助于網格單元中與控制面相對的頂點值,因而對網格的依賴性較大,要求網格的均勻性較好。
然而,在粘流的計算中,出于分辨邊界層的需要,網格在壁面法線方向相當密集。在現有的計算條件下,采用均勻網格是做不到的。NND格式和基于Roe矢通量差分分裂的迎風格式,只借助于控制面兩側單元中心點值,因而對網格均勻性的要求有所減弱。本文采用基于Roe矢通量差分分裂的迎風格式。計算無粘通量的時候,采用Roe矢通量差分分裂,有
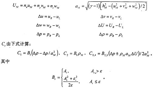
ε為略大于零的數,一般取ε=0.05aM。
A1由下式計算:A1=|UM|,A2,3=|UM±aM|。
這樣,無粘通量

的確定就轉化成了
L和
R的確定。若取
便可方便的得出一階精度格式。顯然,一階精度格式對于粘流的計算來說是沒有應用價值的。為了構造高精度格式,必須尋求確定
L和
R的高精度方法。對于二階精度格式,
L和
R的表達式可由下式確定:

其中,(▽

)
i和(▽

)
j,分別為Q在單元i和j內的梯度;k為界面(i,j)的中心,

表示單元j中心到k的距離矢量,

表示單元i中心到k的距離矢量。將(5-18)代入(5-16),即可得到無粘通量

。可以證明,這樣確定的

具有二階精度。
在(5-18)式,我們用到了原始變量的梯度(▽

)
i和(▽

)
j。在非結構網格中,物理量的梯度可以由高斯積分公式求得。令ф代表任一變量,則
其中,Ω為積分路徑構成的封閉體,

Ω為該封閉體的邊界面,

為邊界面上的
外法線單位矢量。原則上積分路線可以任意選擇,只要包圍計算點即可。
以二維情況為例,計算圖5-1中A點梯度可選C→B→D→C作為積分路徑,但為了保證積分的精度,最好使積分路徑構成的封閉體形心與計算點重合,或至少比較接近。
但是,由(5-18)直接得到的格式在激波附近是不穩定的,將會出現非物理振蕩。迎風格式通過限制物理量的梯度值,來保證物理量在單元內的分布具有單調性,從而達到抑制間斷附近非物理振蕩的目的。這時,(5-18)式變為
5.5.2粘性通量

的確定
粘性通量

由控制面上的速度、壓力及密度的梯度項組成,所以粘性通量

的計算主要是求出控制面上相關物理量的梯度值。首先由(5-19)式求出各單元內物理量ф的梯度值后,界面(i,j)上物理量的梯度值可簡單地由相鄰單元內物理量ф的梯度值的算術平均得出:
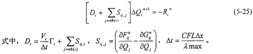
5.5.3離散方程的求解
在計算出無粘通量

和粘性通量

后,代入(5-14)式可得到半離散的差分方程:
方程(5-24)可以采用顯式或隱式的方法進行求解。但是由于受時間步長的限制,采用顯式的R-K時間推進方法需要迭代的步數較多,計算很不經濟,因此本文采用了Gauss-Seidel迭代隱式求解的方法。
式(5-24)在時間方向采用Euler后向差分,有
對方程(5-25),采用Gauss-Seidel點迭代法隱式求解。
5.5.4邊界條件
在邊界處理方面,采用傳統的邊界處理方法。
1.計算域的入口采用入流條件,亞聲速時給定總壓、總溫和速度的方向,其他參數值由內點外推;超聲速時給定邊界上的所有參數值。
2.計算域的出口采用出流條件,亞聲速的時候在出口截面上給定環境壓力,其他參數值由內點外推,超聲速出流邊界不提任何條件;
3.對稱軸處采用軸對稱條件,對稱軸上法向速度為O,其他參數值一階偏導為O;
4.固壁采用無滑移固壁條件,u=v=w=O;
5.人工邊界用無反射邊界條件。
其中無反射邊界條件是根據特征線的方法來求出邊界上的參數值。根據一維完全氣體無粘非定常運動的方程組,在亞聲速的條件下由邊界上的入射波和出射波關系可以得到兩個Riemann不變量:
其中Vn為沿邊界法向的速度分量,c為當地聲速,下標∞表示無窮遠處的參數值,下標i表示計算域內緊鄰邊界的點的參數值。
無窮遠處的參數值為已知,計算域內的參數值可以通過內點的計算得出,因此我們可以得到邊界上的沿邊界法向方向的速度分量和當地的聲速值:
邊界上的沿邊界切向方向的速度分量和熵的值可以通過內點外推得到。
5.6結果分析
圖5-2是第二章穩態裂紋擴展計算得到的管道壁道面在某上瞬時的變形狀態。
圖5-3是以圖5-2為依據建立的流場計算網格。設計參數為:裂紋擴展速度200m/s,管道外徑1016mm,壁厚14.7mm,內壓10MPa。
外部流場區域選取范圍為3m×5m。輸送介質選用天然氣的主要成分甲烷,初始外流場設定為空氣。遠場壓力定義為大氣壓。在底部和側面應用對稱邊界條件。計算段管道全長為35m,裂尖位于距軸向對稱面18.88m處。管壁的擴張速度按照第二章的計算結果作為流場的運動壁面邊界條件。
計算的結果揭示了一些重要的現象。
圖5-4給出了XZ對稱面上的馬赫數分布。管道中的流動在裂尖出口處達到超聲速,而在對稱面附近發生了強烈的回流。標示為B的位置壓力和密度發生了強間斷,意味著出現了激波。
為了進一步觀察XY截面上的速度,圖5-5繪出了圖5-4中標示的A-A截面的速度分布。
矢量箭頭表示的是X-Y面內速度分量的方向,等值線表示三維流動區域中的速率大小。從圖上可以看出外部流場的速度分布沿Y方向從中心到兩側速度迅速降低。在距管道中心五倍遠的外流場,氣流速度仍可達到671m/s。
圖5-5右側的放大截面上標出了A至E的五個點。保持各點的X坐標不變,變化Z坐標,可在管壁上分別劃出對應于截面上不同位置的軸線。
由于管道內壁處的氣體靜壓等于該處管道承受的壓力,圖5-6和圖5-7中A-E各點沿Z向的氣體靜壓變化反映了管道承受壓力的軸向衰減規律。兩圖中的初始內壓分別為10MPa和8MPa。
與線性衰減模式(2-47)(某估算結果在圖5-6中用點劃線標出)相比,計算得到的靜壓衰減結果揭示了幾個重要問題。
其一是回流區的發現。在軸向兩側擴展裂紋的對稱面附近發現了強烈的回流,這在裂紋擴展初期將導致管壁的裂紋后端的抖動,從而對裂紋驅動力起到重要影響。隨著裂尖位置的不斷前移,回流區的壓力將逐漸衰減到大氣壓值。
其二是回流區的位置。計算表明,回流區寬度隨管道工作壓力的升高而增長,隨裂尖位置的前移而減小。
其三是衰減區的壓力變化。氣流通過裂紋尖端時,管壁上作用的氣體壓力沿軸向迅速衰減,經驗公式(2-47)中所用的衰減長度一般取為1.5倍管道直徑,最終衰減到零。計算表明衰減長度隨管道工作壓力的升高而增加,并且衰減區壓力的最低值與管道的工作壓力相關。由于對裂紋的擴展狀態影響甚微,裂尖前部的壓力不是關心的對象。
此外,本文計算與公式(2-46)基本相符,這和全尺寸爆裂實驗得到的結果是一致的。在(2-46)的基礎上,本文提出以下的修正壓力衰減模式以替代(2-47)進
通過多種工況驗證,該模式與計算結果吻合良好。
另外,通過和意大利CSM的實測管理壓力曲線圖5-8相比較,證明圖5-6和圖5-7從趨勢上是成立的。
5.7本章小結
本章以有限體積法為基礎,對非定?蓧嚎s的Navier-Stokes方程進行了離散和求解。網格的劃分采用非結構性網格,無粘通量采用Roe矢通量分裂,差分格式為二階精度,時間離散采用Guass-Seidel隱式迭代,在人工邊界上采用基于特征線法的無反射邊界條件。
對含動態裂紋的高壓輸氣管道的流場模擬結果表明,氣體壓力模式(2-46)和(2-47)式在裂紋充分發展至不考慮回流區影響的條件下,對高壓高韌性管道仍然成立
回流區的發現對裂紋開始擴展不久的一段時間內的裂紋驅動力起重要影響,對于判定止裂點的位置有著重要的工程意義。(5-29)和(5-30)式可直接應用于有限元程序以提高裂紋擴展與止裂的模擬精度。