6計算
6.1圓柱齒輪
GB/Z6413的本部分含有能評定用油潤滑的漸開線直齒和斜齒齒輪的“膠合概率”(熱膠合)的有關公式。
假定整個切向載荷在雙斜齒輪的兩條螺旋線之間是等量分布的。當由于有像外部軸向力這樣的力的作用時,則不屬于這種情況,這些力的影響必須分別考慮進去,這兩條螺旋線應按平行的單斜齒輪來處理。包括影響膠合概率的各種因素可做出定量的評定。
這些公式對于具有與GB/T1356規定的基本齒條相嚙的外齒或內齒齒輪均適用。對于內嚙合齒輪,在確定6.1.10給出的幾何系數XBE時,必須引入負值。它們也可考慮適用于端面重合度為εα≤2.5的符合其他基本齒條的類似齒輪。
6.1.1 膠合承載能力計算的安全系數SintS
當假設中的不確定性與不精確度不能排除時,有必要引入安全系數SintS。必須指出膠合承載能力計算的安全系數與溫度有關,而不是這樣一個系數,即用它乘以齒輪的轉矩,使積分溫度Θint與膠合積分溫度ΘintS達到相同的數值。
Ssmin的選用建議
Ssmin<1,高膠合危險。
1≤Ssmin≤2,具有中等膠合危險的臨界范圍,受實際齒輪工作條件的影響。影響因數有例如齒面粗糙度、跑合效果、載荷系數的準確理解、潤滑油的承載能力等。
Ssmin>2,低膠合危險。
為給出實際載荷與積分溫度數之間的關系,相應的載荷安全系數SS1可近似由下式取得:
6.1.2許用積分溫度ΘintP
要求的最小膠合安全系數 對每種應用情況應分別確定。
6.1.3積分溫度
Θint=ΘM+C2·Θflaint≤ΘintP……………………(17)
式中:
C2——由實驗得出的加權系數,對于直齒與斜齒齒輪,C2=1.5。
Θflaint=ΘflaE·XE………………(18)
6.1.4小齒輪頂的閃溫ΘflaE
6.1.5本體溫度ΘM
本體溫度是即將進入嚙合時的齒面溫度。
本體溫度是通過齒輪箱的熱平衡過程而建立起來的。在齒輪箱中,有幾中熱源,其中最重要的是輪齒、軸承的摩擦。其他的熱源例如密封與油流在某種程度上也是其中之一。當節線速度超過80m/s時,在嚙合和風陰損失中因攪油而產生的熱是重要的。應予以考慮(見方法A)。該熱量經過傳導、對流與輻射,再經箱體而傳遞到周圍環境,對于噴油潤滑,則通過油進入外部的熱交換器。
用以下不同計算方法得到的數值須用下標A、B、C加以區別。
6.1.5.1 A法ΘM-A
本體溫度作為平均值或作為齒寬上的溫度分布可用實驗測定或采用基于已知功率損失與傳熱數據進行理論分析確定,即采用熱網格方法確定。
6.1.5.2 B法ΘM-B
此法不用于積分溫度法(見GB/Z 6413.1中給出的閃溫法)。
6.1.5.3C法ΘM-A
本體溫度的近似值由油溫加上沿嚙合線上得出的閃溫平均值的(根據方法C)一部分之和來確定。
ΘM-C=Θoil+C1·Xmp·Θflaint·XS………………(20)
式中:
對于噴油潤滑:XS=1.2;
對于油浴潤滑:XS=1.0;
對于將齒輪浸沒油中:XS=0.2;
C1——考慮了熱轉換條件的常數,試驗結果為:C1=0.7;
式中:np——同時嚙合的齒輪的數量。
6.1.6平均磨擦因數μmc
見5.1。
6.1.7跑合系數XE
見5.2
6.1.8熱閃系數XM
見5.3。
6.1.9壓力角系數Xαβ
見5.4。
6.1.10小輪齒頂的幾何系數XBE
幾何系數XBE考慮小輪齒頂的赫茲應力與滑動速度的影響。XBE是齒數比u與小輪齒頂E點處曲率半徑ρE的函數。
對于內嚙合齒輪,下面的參數必須用負值代入:齒數 、齒數比u、中心距α以及所有直徑。
6.1.11 嚙入系數XQ
嚙入系數XQ考慮了在高滑動區域,在正進入嚙合處(在被驅動齒輪的齒頂處)的沖擊載荷。可用嚙入重合度εf與 與嚙合重合度εa之比的函數來表示,見圖3。
圖3嚙入系數XQ
當齒頂被倒棱或倒圓時,頂圓直徑da必須用嚙出開始點的有效頂圓直徑dNa來替代。
6.1.12 當頂修緣系數XCa
受載輪齒的彈性變形在滑動較大的齒頂處會產生高的沖擊載荷。齒頂修緣系數XCa考慮了齒廓修形對這種載荷的影響。XCa是一個相對的齒頂修緣系數,它取決于相對于因彈性變形引起的有效齒頂修緣量Ceff的齒頂修緣量Ca,見圖4。
圖4的曲線可能用公式(32)近似確定。
式中:
εmax——ε1或ε2中的最大值。
圖4 由實驗數據[8,9]得出的齒頂修緣系數XCa
被引入到公式(32)的齒頂修緣的名義量Ca取決于齒頂修緣的實際值Ca1、Ca2有效齒頂修緣量Ceff、齒頂重合度的比值及功率流的方向。
當小輪驅動大輪且ε
1>1.5ε
2或大輪驅動小輪且

時:
對于Ca1 Ceff Ca= Ca1…………………………………………………(33)
對于Ca1> Ceff Ca= Ceff …………………………………………………(34)
當小輪驅動大輪且ε
1≤1.5ε
2或大輪驅動小輪且

時:
對于Ca2≤Ceff Ca= Ca2…………………………………………(35)
對于Ca2>Ceff Ca= Ceff ……………………………………………(36)
Ceff——有效齒頂修緣量,用以補償單對齒嚙合時輪齒的彈性變形。
對于直齒輪
對于斜齒輪

式中:
b——齒寬,當大、小輪的齒寬不同時,取其中較小值。
上述的齒頂修緣量適量于GB/T10095.1中6級或更好的齒輪。對于低精度齒輪,規定XCa=1,也可參見GB/T3480。
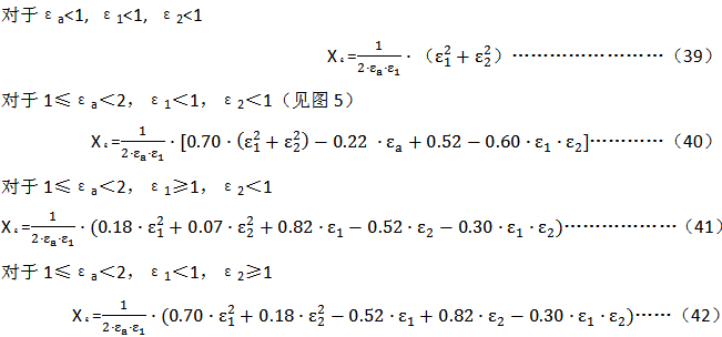
6.1.13重合度系數Kε
重合度系數Kε是考慮在忽略載荷分配時,將小輪齒頂的閃溫值轉換為沿嚙合線閃溫平均值的系數。重合度系數可以用齒高重合度ε1與ε2以及它們的和εa來表示。Xε的公式是基于假定沿嚙合線的閃溫是線性分布的。這種方法的可能誤差將不會超過5%,且偏于安全。
圖5 1≤εa<2時的載荷與溫度分布
對于2≤εa<3,ε1≥ε2(見圖6)
圖6 2≤εa<3時的載荷與溫度分布
6.2錐齒輪
本條是6.1所述積分溫度法的繼續。
計算時,用錐齒輪中點直徑確定的當量圓柱齒輪來近似錐齒輪(當量圓柱齒輪的計算見GB/T10062.1)。為此,GB/Z 6413 的本部分規定的計算方法的結構與圓柱齒輪的內容相當。
對于替代錐齒輪的當量圓柱齒輪(按錐齒輪端面內中點直徑確定)的膠合承載能力,按6.1計算。
6.2.1膠合承載能力計算的安全系數SintS
見6.1.1。
6.2.2許用積分溫度ΘintP
見6.1.2。
6.2.3積分溫度Θint
見6.1.3。
對于當量圓柱齒輪,C2=1.5。
6.2.4小輪齒頂的閃溫ΘflaE
見6.1.4并采用下列替換:
——在公式(19)中:用aV代替a,vmt代替v;
——在公式(4)中:有Fmt代替Ft,beB代替b。
有效齒寬beB考慮了錐齒輪的鼓形。
beB=0.85b2
式中:
b2——小輪與大輪的公用齒寬。
系數KA、KV、KBβ= KHβ以及KBα= KHα應按GB/T10062.1確定。
KBγ= 1
6.2.5本體溫度ΘM
見6.1.5。
6.2.6平均磨擦因數μmc
見5.1,并采用下列替換:
——在公式(4)中:用Fmt代替Ft,beB代替b。
對于一般錐齒輪設計情況αt=αvt,即x1=x2:
vΕC=2·vmt·sinαvt………………………………………(47)
KBγ=1
6.2.7跑合系數XE
見5.2。
6.2.8熱閃系數XM
見5.3。
6.2.9壓力角系數Xαβ
6.2.9.1 A法:系數Xαβ-A
對于一般錐齒輪設計的情況α′t=αvt,即x1=-x2:
6.2.9.2 B法:系數Xαβ-B
見5.4。
6 .2.10小輪齒頂的幾何系數XBE
見6.1.10,并采用下列替換:
——在公式(22)中:用uv代替u;
——在公式(23)中:用dval代替da1,dab1代替db1;
——在公式(24):αvt代替α′t。
6.2.11嚙入系數XQ
見6.1.11,并采用下列替換。
——在公式(28)~公式(31)中:用εv1代替εv2,εv2代替ε2;
——在公式(30)與公式(31)中:用dva1,2代替da1,2,dvb1,2代替db1,2,αvt代替α′t,zv1,2代替z1,2。
6.2.12齒頂修緣系數XCa
在6.1.12,并采用下列替換:
——在公式(32)中,用εvmax代替εmax,εvmax是εv1或εv2中的量大值。
假定齒頂與齒根的修緣量被選為運行條件下的量佳值(滿負荷接觸斑點剛好擴展到齒頂而沒有聚集現象),于是應用以下的近似方法:
6.2.13重合度系數Xε
見6.1.13,并在公式(39)~公式(45)中及其有效的條件下,采用下列替換:
用εva代替εa,εv1代替ε1εv2代替ε2。
6.3準雙曲面齒輪
準雙曲面齒輪膠合承載能力的計算方法是遵循6.1圓柱齒輪積分溫度準則。
為計算膠合承載能力,將準雙曲面齒輪當作具有與實際準雙曲面齒輪同樣滑動條件的當量交錯軸斜齒輪來近似處理(6.3.11當量交錯軸斜齒輪副)。
6.3.1膠合承載能力計算的安全系數SintS
見6.1.1。
6.3.2許用積分溫度ΘintP
見6.1.2。
6.3.3積分溫度Θint
見6.1.3,并采用下列替換:
——在公式(17)中:用C2H代替C2(按照試驗結果,C2H=1.8),Θflainlh代替Θflainl。
KBβbe=KHβbe………………………………………………(52)
KBβbe=KHβbe(見GB/T10062.1)
6.3.4本體溫度ΘM
見6.1.5。
6.3.5平均磨擦因數μmc
見5.1,并采用下列替換:
——在公式(1)中:用ρCn代替ρredC;
——在公式(4)中:用beB/cosβb2代替b,Fn代替Ft;
beB;見公式(46)。
KBγ=1
KBγ·KBα=2.0(僅為計算μmc時的近似值)………………(53)
XR:見公式(7),并使用ρCn代替ρredC。
6.3.6跑合系數XE
見5.2,并在公式(8)中采用下列替換:
——用ρCn代替ρredC。
6.3.7 幾何系數XG
幾何系數XG是考慮平均赫茲應力與沿嚙合線的平均嚙合長度影響的系數。作為一種近似方法,它可利用節點處的數值來確定(ρCn,L)。
圖7作為cosθ的函數的輔助系數
6.3.8嚙入系數XQ
見6.1.11,并采用下列替換:
——在公式(28)~公式(31)中:用εn1代替ε1,εn2代替ε2。
6.3.9齒頂修緣系數XCa
見6.1.12,并采用下列替換:
——在公式(32)中,用εnmax代替εmax,εnmax為εn1或εn2中的最大值。
為獲得適當的齒頂與齒根的修緣:
Ca/Ceff=1,見6.2.12。
6.3.10重合度系數Xε
對于嚙出線長度大致相同的(gan1≈gan2)齒輪副,滑動系數g*接近等于1。
6.3.11當量交錯軸斜齒輪的計算
這一部分包含了準雙曲面齒輪副轉換成交錯軸斜齒輪副的幾何關系,將準雙曲面齒輪的齒寬中點處的條件作為轉換的基礎(見圖8)。
當量交錯軸斜齒輪的參數:
螺旋角
βs1,2=βm1,2………………………………………………(63)
法向壓力角
αsn=αmn………………………………………………(64)
交錯軸斜齒輪的交錯角
Σ=βm1-βm2………………………………………………(65)
端面壓力角
αst1,2
基圓螺旋角
分度圓直徑
頂圓直徑
da1,2=ds1,2=2ham1,2…………………………………………(69)
基圓直徑
db1,2=ds1,2·cosαt1,2……………………………………(70)
交錯軸斜齒輪的軸交角
tanβb1,2=tanβm1,2·sinαmm……………………………………(71)
φ=βb1+βb2………………………………………………(72)
模數
msn=mmn………………………………………………(73)
法面基圓齒輪
ρen=msn·π·codαmm………………………………………(74)
法截面上的曲率半徑
圖8 當量交錯軸斜齒輪的計算
切線速度
節點處切線速度之和
γ1,2=srctanγ1,2=arc(sinαsn·tanβs1,2)………………………………(86)
vgα1=vg1·cosγ1+vg2·cosγ2……………………………………(87)
vgβ1=vgs+vg1·sinγ1-vg2·sinγ2……………………………………(88)
齒合線長度

6.4膠合積分溫度
膠合積分溫度是產生膠合的溫度根限值,它可以在試驗結果的基礎上進行計算。
此法適用于所在類型的油品(純礦物油、EP油、合成油)。對于這些油的膠合承載能力已經通過試驗齒輪確定(適用的試驗例如有FZG-試驗A/8.3/90、FZG L-42試驗,Ryder齒輪油試驗,或IAE齒輪油試驗),或用實際的損傷情況來確定。
當試驗齒輪的材料與相應的熱處理與實際齒輪不致時,必須修正膠合溫度,因為極限溫度是材料——油品系統的函數。
6.4.1膠合積分溫度Θints
根據積分溫度的設定,當平均齒輪溫度超出稱之為膠合積分溫度的值時,齒輪有可能膠合,這個溫度值假定為齒輪副的潤滑油與齒輪材料的組合所特有的,而且是通過類似的潤滑油與齒輪材料的組合試驗來確定的。
膠合積分溫度值可由將任何齒輪油的膠合,試驗數據代入6.1、6.2、6.3中的公式得到。這樣,膠合積分溫度值對任一油品:純粹的礦物油、EP油或合成油可以計算出來。
6.4.1.1膠合積分溫度的計算
熱處理或表面處理齒輪鋼與礦物油組合,組合的近似膠合積分溫度值可從其他的熱處理或表面處理齒輪鋼和同樣的潤滑油組合的結果中得出。
ΘintS=ΘMT+XWrelT·C2·ΘflaintT………………………………(94)
式中:
C2=1.5,由試驗獲得。
6.4.1.2由試驗結果確定ΘMT、ΘflaintT
圖9所示為幾種礦物油,在按照DIN51354[2]的FZG-試驗A/8.3/90、Ryder[3]或FZG-Ryder試驗[4]以及FZGL-42試驗[5]等條件下確定的膠合承載能力的曲線。
為用計算機計算,圖9 圖11的曲線可以近似地用下列公式表達:
a)對于FZG試驗A/8.3/90:
ΘMT=80+0.23·T1T·XL………………(95)
圖9FZG試驗A/8.3/90的膠合溫度ΘintS
圖10 Ryder與FZG-Ryder齒輪試驗R/46.5/74E的膠合溫度Θints
b)對于Ryder與FZG-Ryder試驗R/46.7/71:

的單位為1b/in。
c)對于FZG L-42試驗141/19.5/110:
6.4.2相對焊合系數XWrelT
相對焊合系數XWrelT是考慮熱處理或表面處理對膠合積分溫度影響的一個經驗性系數。
式中:
對于FZG齒輪試驗、Ryder齒輪試驗以及FZG L-42試驗,XWT=1;
XW——實際齒輪材料的焊合系數,見表3。
圖11FZG L-42試驗141/19.5/110的膠合Θints
表3焊合系數XW
|
齒輪材料 |
XW |
|
調質硬化鋼 |
1.00 |
|
磷化鋼 |
1.25 |
|
鍍銅鋼 |
1.50 |
|
液體與氣體氮化鋼 |
1.50 |
|
表面滲碳鋼
平均奧氏體含量少于10%
平均奧氏體含水量量10%~20%
平均奧氏體含量大于20%~30% |
1.15
1.00
0.85 |
|
奧氏體鋼(不銹鋼) |
0.45 |