5影響因素
5.1 平均磨擦因數μmc
齒面間的實際磨擦因數是一個瞬時與局部的數值,它取決于油品的一些性能、齒面粗糙度,如同由加工留下的凹凸不平的位置,齒面材料的特性、切線速度、齒面的受力及幾何尺寸。瞬時磨擦因數的評定比較困難,因目前尚無一種有效測定方法。
沿嚙合線的平均摩擦因數μmc,可由測量[1]得到與由公式(1)估計出。雖然,局部磨擦因數在節點C接近于零,當引入公式(1)時,其平均值可用節點的參數與油溫Θoil時油的黏度ηoil大致得出。
積分溫度法的磨擦因數跟閃溫法的磨擦因數以不同的方式考慮了齒輪的大小。計算摩擦的公式(1)僅適用于范圍,例如用于熱功率的磨擦因數。
1m/s≤ ≤50N/mm
在分度圓線速度 低于1m/s時,磨擦因數更高,在分度圓線速度 時,在公式(1)中必須使用 時的 ΣC極限值。
Bt≤150N/mm
當單位法向輪齒載荷 Bt<150N/m時,在公式(1)中必須使用 Bt=150N/mm的極限值。
1)磨擦因數的這一公式是從中心距a≈100mm的齒輪試驗中得出的。
式中:
對于聚(乙)二醇:

;
對于礦物油:XL=1.0;
對于聚α烯族烴:XL=0.8;
對于牽引液:XL=1.5;
對于磷酸酯:XL=1.3;
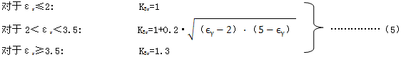
公式(1a)表示在a=91.5~200mm的范圍內的試驗結果,應用本公式時,必須相應調整關于膠合溫度ΘintS的圖9、圖10和圖11。
KBr為螺旋線載荷系數,膠合考慮了由于總重合度的增加而增加的磨擦(見圖1)。
圖1 螺旋線載荷系數KBr
Rα=0.5·(Rα1+ Rα2)………………(6)
Rα1、 Rα2是小輪與大輪在加工過的新齒面上測量的齒面粗糙度值(例如,標準的試驗齒輪的Rα值是≈0.35μm)。
式中:
對于礦物油:XL=1.0;
對于聚α烯族烴:XL=0.8;
對于非水溶性聚(乙)二醇:XL=0.7;
對于水溶性聚(乙)二醇:XL=0.6;
對于牽引液體:XL=1.5;
對于磷配酯體:XL=1.3。
5.2跑合系數XE
現有的計算方法是假定齒輪已經過了較好的跑合。實際上,膠合損傷經常發生在運轉開始時幾個小時內,例如:齒輪箱驗收時在滿負荷下試驗運轉或一對新的齒輪裝進生產設備時在適當跑合以前,齒輪在滿負荷條件下運轉。研究[1]表明,與適當跑合好的齒面相比,新加工的齒面的承載能力為1/4~1/3,這里用一個跑合系數XE加以考慮。
式中:
φE=1,充分跑合(對于滲碳淬火與磨削過的齒輪,如果Rarun-in=0.6Ranew則可確認為已充分跑合);
φE=0新加工的。
5.3 熱閃系數XM
熱閃系數XM是考慮小輪與大輪的材料特性對閃溫的影響。
嚙合線上任意點(符號y)熱閃系數的計算(見圖2):
圖2 嚙合線上的參數Γ
如果小輪與大輪的材料是相同的,公式(9)可以簡化為:
在上式中,熱嚙系數BM為:
對于表面硬化鋼,具有以下曲型的特征值:
λM=50N/(s·K),Cv=3.8N/(mm2·K),E=206000N/mm2及v=0.3
XMs=50.0K·N-0.75s0.5·m-0.5·mm
至于其他材料的特征值參見[7]。
5.4壓力角系數Xαβ
壓力角系數數Xαβ是用以考慮將分度圓上的載荷與切線速度轉換到節圓上系數。
方法A:系數Xαβ-A
表2表示具有壓力角為αn=20°的標準齒條的壓力角系數值,標準嚙合角 與螺旋角β的常用范圍。
表2方法B:系數Xαβ-B
|
α′t |
β=0° |
β=10° |
β=20° |
β=30° |
|
19° |
0.963 |
0.960 |
0.951 |
0.938 |
|
20° |
0.978 |
0.975 |
0.966 |
0.952 |
|
21° |
0.992 |
0.989 |
0.981 |
0.966 |
|
22° |
1.007 |
1.004 |
0.995 |
0.981 |
|
23° |
1.021 |
1.018 |
1.009 |
0.995 |
|
24° |
1.035 |
1.032 |
1.023 |
1.008 |
|
25° |
1.049 |
1.046 |
1.037 |
1.012 |
對于法向壓力角為αn=20°的齒輪,作為近似考慮,其壓力角系數可近似取為:
Xαβ-B=1