a. 主動端的激振
b. 從動端的激振
式中:C—聯軸器動態扭轉剛度。
4.4.4 軸偏移引起的載荷
當軸向偏移在聯軸器上僅產生靜載荷時,徑向和角向位移產生交變載荷,此交變載荷與頻率系數有關,為此交變轉矩應按下列條件:
△X≥△XmaxKt ………………………………(12)
△Y≥△YmaxKtKt ………………………………(13)
△a≥△amaxKtKf ………………………………(14)
式中:△X—聯軸器許用軸向補償量;
△Y—聯軸器許用徑向補償量;
△a—聯軸器許用角向補償量;
△Xmax—軸系最大軸向補償量;
△Ymax—軸系最大徑向補償量;
△amax—軸系最大角向補償量;
軸偏移而產生的恢復力和轉矩,是聯軸器軸向剛度CX、徑向剛度CY和扭轉剛度C的函數。這些力和轉矩增加了鄰近部件(軸、軸承)的載荷。
軸向恢復力 FX=△XmaxCX ………………………………(15)
徑向恢復力 FY=△YmaxCY ………………………………(16)
角度方向恢復力矩 Fa=△amaxC ………………………………(17)
式中:CY—徑向動態剛度;
CX—軸向動態剛度;
C—角向動態剛度。
4.4.5 選用示例
例1:動力機為電動機,均勻載荷情況下彈性聯軸器選用示例。
1.已知動力機參數
a. 160M型三相交流電動機,功率PW=11kW,轉速n=1450r/min;

c. 轉子轉動慣量JA=0.0736kg·m2;
d. 起動次數Z=150次/h;
e. 環境溫度t=40℃
f.主動端沖擊轉矩即起動轉矩TAS=2TA=145N·m。
2. 已知工作機參數
a. 負載平均轉矩TL=68N·m。
b. 負載轉動慣量JL=0.0883kg·m2;
3.選用帶天然橡膠彈性元件聯軸器,載荷均勻時,計算轉矩TA應滿足式(4)的要求:
TA≥TLKt=68×1.1=75N·m
4.初選GB 4323中TL5型Ta=125N·m彈性套柱銷聯軸器,彈性套為天然橡膠。
最大轉矩Tmax=2Tn=250N·m;
半聯軸器轉動慣量J1=J2=0.015kg·m2;
起動系數KZ(由表4查得)=1.3;
溫度系數Kt(同表5查得)=1.1;
沖擊系數KAS=1.8;
沖擊載荷時主動端的沖擊轉矩應滿足式(5)的要求:TAmax≥TASKAJKASKtKZ
=14.5×0.54×1.8×1.3×1.1
=202N·m<250 N·m
主動端沖擊轉矩小于彈性性聯軸器的最大轉矩,故安全,可以選用。
選定聯軸器時,還應校核在給定況條件下許用偏移量。
例2:動力機為柴油機,周期性交變載荷情況下彈性聯軸器選用示例。
1.已知動力機參數
a. 4缸四沖程直列式柴油相,功率PW=28kW,轉速n=1500r/min;
c. 第二諧周期性交變轉矩TA2=±536N·m;
d. 起動次數Z≤60次/h;
e. 環境溫度t=40℃;
f. 發動機轉動慣量JA=2.36kg·m2。
2.已知工作機參數
a. 負載平均轉矩TL=148N·m;
b. 負載轉動慣量J=1.01kg·m2。
3.選用帶天然橡膠彈性元件聯軸器,載荷均勻時,計算轉矩TA應滿足式(4)的要求:
TA≥TLKt=148×1.1=162N·m。
4.初選GB 4323中TL6型Tn=250N·m彈性套柱銷聯軸器,彈性套為天然橡膠。
最大轉矩Tmax=2Tn=500N·m;
交變疲勞轉矩TK=±100N·m;
動態扭轉剛度C=2900N·m/rad;
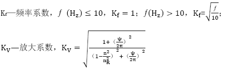
放大系數KV=6;
轉動慣量J1=0.0294kg·m2;
J2=0.00785kg·m2;
起動系數(由表4查得)KZ=1;
溫度系數(由表5查得)Kt=1.1;
考慮共振轉速時應滿足式(8)的要求:TAmax≥TA2KAJKVKKt
=536×0.298×6×1×1.1
=1055N·m
由以上計算可見,初選TL6型聯軸器偏小,應選取大兩規格的TL8型,Tn=710N·m,其主要參數:
最大轉矩Tmax=2Tn=1420N·m;
交變疲勞轉矩TK=±150N·m;
動態扭轉剛度C=5500N·m/rad;
放大系數KV=6;
轉動慣量J1=0.053kg·m2;
J2=0.0236kg·m2;
以上所有計算得轉矩值均在聯軸器允許轉矩值范圍內,故安全,可以選用。對選定的彈性聯軸器應按給工況校核其許用偏移量。